张星教授 骨与软组织肉瘤的靶向治疗进展
第二十三届全国临床肿瘤学大会暨2020年中国临床肿瘤学会(CSCO)学术年会于9月19日隆重召开,本届大会主题为“精准诊治,携手共赢”。随着精准医学的不断发展,靶向治疗在肿瘤治疗中的地位至关重要。在今年的CSCO会议上,中山大学肿瘤防治中心的张星教授分享了骨与软组织肉瘤的靶向治疗进展。

骨肉瘤及其靶向治疗概况
20世纪70年代开始,骨肉瘤综合治疗已成为骨肉瘤治疗的基本原则,五年生存率已由单纯手术的20%提高到60%~80%。目前,从新辅助化疗到手术再到辅助化疗的方式已经普及。
骨肉瘤常见的靶点包括VEGFR、MDM2、mTOR、HDAC等,常用的靶向药物包括以下几种:
1 索拉非尼
研究显示,索拉非尼治疗标准治疗失败的复发和不可切除的高级别骨肉瘤,有些病灶缩小,有些病灶可保持稳定,无进展生存期(PFS)为4个月,总生存期(OS)为7个月。
2 索拉非尼+依维莫司
一项Ⅱ期试验结果显示,索拉非尼+依维莫司治疗接受标准治疗进展的不可切除的高级别骨肉瘤患者,6个月PFS率为45%。但此方案副反应较大,66%患者剂量降低或治疗中断。张星教授表示,一般不推荐双药联合方案。

图1 索拉非尼+依维莫司PFS
3 瑞戈非尼
REGOBONE研究旨在评估瑞戈非尼在晚期骨肉瘤中的疗效和安全性。结果显示,瑞戈非尼对化疗进展的骨肉瘤患者有效,8周PFS率为65.4%;中位PFS延长12.3周。鉴于本研究样本量小,后期需大样本量的研究进一步验证。

图2 REGOBONE研究中位PFS结果
SARC024研究同样是一项评价瑞戈非尼用于晚期骨肉瘤的研究。结果显示,与安慰剂组相比,瑞戈非尼组中位PFS延长至3.6个月,且瑞戈非尼组8周PFS率为79%(安慰剂组为25%),16周PFS率为44.4%。在允许交叉入组的情况下,两组间OS无显著差异。该研究为瑞戈非尼治疗晚期骨肉瘤提供了证据,并对RGOBONE研究的结果进行了补充。

图3 SARC024研究
软组织肉瘤的靶向治疗
软组织肉瘤(STS)是一类相对少见的恶性肿瘤。国际通用的软组织肉瘤病理亚型达50多种,且分子类型、组织学类型和临床特征多样。因此,软组织肉瘤的治疗具有复杂性和挑战性。近年来,已有多种靶向药物应用于晚期或不可切除STS的治疗。培唑帕尼、安罗替尼和瑞戈非尼可以作为不可切除或晚期软组织肉瘤的二线治疗,但培唑帕尼和瑞戈非尼不推荐用于脂肪肉瘤。
1 培唑帕尼——首个FDA批准的STS靶向药物
2012年4月26日,美国FDA批准培唑帕尼用于化疗失败的除脂肪肉瘤以外转移性软组织肉瘤的二线治疗。
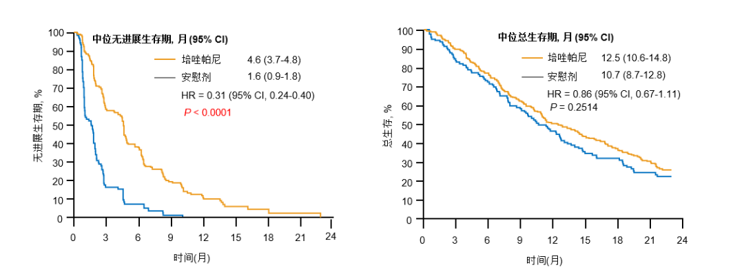
PALETTE(EORTC 62072)是一项Ⅲ期随机对照研究。结果显示,与安慰剂相比,培唑帕尼可延长患者的PFS(mPFS: 4.6个月 Vs 1.6个月,HR=0.35,P<0.0001),两组的OS无显著差异(12.5个月 Vs 11 个月,P =0.25)。

图4 PALETTE研究的PFS和OS结果
2 安罗替尼
安罗替尼二线治疗晚期软组织肉瘤的II期研究显示,安罗替尼治疗有效率为12.6%,12周PFS率达68.4%,中位PFS为5.63个月,中位OS为12.33个月。
ALTER0203研究结果显示,安罗替尼可延长患者PFS,降低疾病进展风险(6.27个月Vs 1.47个月,HR=0.33)。

图5 ALTER0203研究PFS
按病理亚型进行亚组分析发现,安罗替尼能显著延长滑膜肉瘤(5.73个月Vs 1.43个月)、平滑肌肉瘤(5.83个月Vs1.43个月)及腺泡状软组织肉瘤(18.23个月Vs 3个月)等多种亚型患者的PFS。
3 瑞戈非尼
REGOSARC研究显示,瑞戈非尼可延长多柔比星治疗失败的非脂肪肉瘤的PFS(4.0 个月Vs 1.0 个月,P <0.0001),对滑膜肉瘤和平滑肌肉瘤效果较好,对脂肪肉瘤无效。

图6 REGOSARC研究结果-PFS
4 拉罗替尼
一项拉罗替尼针对NTRK融合、标准治疗失败的不能手术或转移性实体瘤的Ⅰ/Ⅱ期临床试验结果显示,对NTRK融合软组织肉瘤患者的客观缓解率(ORR)为95%,而且缓解持续时间较长。该药物在中国未上市,建议患者参加临床试验。
拉罗替尼的篮子试验结果显示,所有人群ORR达81%,肉瘤组最佳ORR为80%,患者响应情况与年龄无关。
拉罗替尼响应速度快,中位响应时间为1.8个月。治疗肉瘤亚组12个月,治疗持续响应率为81%。这表明,拉罗替尼不仅响应速度快,且响应时间久。

图7 篮子试验治疗持续缓解时间
2018年11月26日,美国FDA同意加快批准拉罗替尼上市,用于治疗携带NTRK基因融合的局部晚期或转移性实体肿瘤患者(包括成人和儿童)。
特殊病理亚型
——晚期或不可切除软组织肉瘤的靶向治疗
通常情况下,靶向治疗可用于不可切除或晚期软组织肉瘤的二线治疗。但在一些特殊病理亚型中,由于缺乏标准、有效的一线化疗方案,所以特定的靶向药物可以考虑用于不可切除或晚期软组织肉瘤的一线治疗。
1 腺泡状软组织肉瘤(ASPS)
ASPS是一种罕见的、对化疗不敏感的软组织肉瘤。多个研究表明,安罗替尼、培唑帕尼和舒尼替尼对ASPS均有效,其中安罗替尼效果较为显著,延长了15个月的PFS。

图8 腺泡状软组织肉瘤治疗推荐
2 炎性肌纤维母细胞瘤(IMT)
IMT是低度恶性软组织肿瘤,具有炎性浸润的梭形细胞增殖,约一半的IMT携带染色体2p23上的间变性淋巴瘤激酶(ALK)基因重排。ALK抑制剂克唑替尼可以治疗ALK易位的IMT,研究显示有50%ALK阳性和14%ALK阴性的患者取得了ORR。新一代ALK抑制剂塞瑞替尼亦有治疗潜能,目前已有报道塞瑞替尼在ALK基因重排的非小细胞肺癌中的显著疗效,其效果甚至可能优于克唑替尼。

图9 炎性肌纤维母细胞瘤治疗推荐
3
血管周上皮样细胞肿瘤(PEComa)
PEComa是一种极为罕见的间充质肿瘤,最常见位于内脏(尤其是胃肠道和子宫)、腹膜后和腹壁盆腔部位。mTOR抑制剂可治疗PEComa,研究显示有71%患者可达到部分缓解(PR)。
4 高分化/去分化脂肪肉瘤
超过90%的高分化/去分化脂肪肉瘤具有CDK4扩增。PD0332991研究是一项CDK4抑制剂治疗高分化/去分化脂肪肉瘤的Ⅱ期临床试验。结果显示,12周PFS率为66%(超过预设的40%),1例患者达到部分缓解。
5 隆突性皮肤纤维肉瘤
大于90%的隆突性皮肤纤维肉瘤有17号染色体COL1A1和22号染色体的PDGFB基因融合,从而导致PDGF&β;通路的过度活化。2项研究结果显示,伊马替尼靶向治疗有效,46%的患者出现部分缓解。
6 血管肉瘤
贝伐珠单抗和索拉非尼可用于血管肉瘤的二线治疗,研究显示二者对血管肉瘤患者的疗效和耐受性良好。

图10 血管肉瘤治疗推荐
肉瘤靶向治疗展望
1 靶向单药研究新进展
MDM2抑制剂-Milademetan
Milademetan(DS-3032b)是一种口服小分子药物,可干扰MDM2与p53的相互作用,导致降解p53的蛋白酶失活从而诱导细胞周期停滞及细胞凋亡等。临床试验结果显示,在MDM2基因扩增的肿瘤中(包括高分化/去分化脂肪肉瘤及其他实体瘤)均观察到相应的ORR与DCR,脂肪肉瘤中初步观察到疗效,PFS达6.3个月。Milademetan安全性、耐受性良好。
EZH2抑制剂-tazemetostat
Tazemetostat是一种潜在的特异性的口服EZH2抑制剂,在INI1阴性恶性横纹肌肉瘤模型中证实了其对肿瘤的抑制作用及在其他INI1阴性的肿瘤中具有客观响应。
一项目前为止在上皮样肉瘤中进行的最大样本量(62例)的前瞻性临床研究中,Tazemetostat的疗效被验证,包括PFS和OS获益,单药ORR可达15%,疾病控制率(DCR)可达71%。
2020年1月,FDA批准Epizyme公司开发的“first-in-class” EZH2抑制剂Tazemetostat上市,用于治疗不适合手术的转移性或局部晚期上皮样肉瘤。
CDK4抑制剂-Abemaciclib
CDK4抑制剂Abemaciclib通过抑制CDK4与cyclinD形成复合物从而磷酸化RB信号通路,从而抑制肿瘤活性。研究显示,晚期去分化脂肪肉瘤经Abemaciclib治疗后取得了较好的 PFS 和ORR,毒性可管理。
mTOR抑制剂-ABI-009
ABI-009是一个结合了白蛋白的mTOR抑制剂,可以增加肿瘤对药物的摄取率。2020年ASCO会议上公布了一项Ⅱ期临床试验的最新结果,ABI-009 治疗 PEComa 可以取得较高的缓解率和较持久疗效,且毒性可管理。
2 靶向+化疗研究新进展
培唑帕尼联合方案(吉西他滨+培唑帕尼 vs 吉西他滨+多西他赛)
一项吉西他滨(G)+培唑帕尼(P)或吉西他滨+多西他赛(T)用于晚期STS的Ⅱ期临床试验结果显示,在非脂肪肉瘤的STS患者中, G+P 和G+T 方案的疗效相当;提示G+P 可以考虑用于这类患者的二线治疗。
培唑帕尼联合方案(培唑帕尼+吉西他滨)vs 吉西他滨单药
2020年ASCO会议上公布最新结果显示,G+P联合组与吉西他滨单药治疗相比,PFS延长;联合组对脂肪肉瘤效果较好。
Selinexor (KPT-330)联合方案(Selinexor+阿霉素)
selinexor是一种首创、口服、选择性核输出抑制剂(SINE)化合物,一项Ⅰb期研究显示,入组的17位受试者中有3位达到了PR,KPT-330与阿霉素联用可以被受试者耐受。需要更大样本量的研究进一步验证疗效和安全性。
地西他滨联合多西他赛
2020ASCO会议公布了一项Ⅰb期研究最新结果,该研究将地西他滨分为0.1mg/kg组和0.2mg/kg组。结果显示,两组的PR相当,高剂量组PD率更高(25%vs58.3%)。张星教授表示,在后续研究中,倾向于低剂量组。
仑伐替尼联合艾日布林
LEADER研究是一项评价仑伐替尼联合艾日布林用于晚期脂肪肉瘤和平滑肌肉瘤的Ⅰb/Ⅱ期临床试验。2020年ASCO会议上公布的最新结果显示,仑伐替尼林和艾立布林对平滑肌肉瘤和脂肪肉瘤在ORR和PFS 方面显示潜在的疗效和可耐受的毒副反应。
张星教授最后表示,在未来,更看好靶向联合免疫治疗。血管靶向药物联合免疫治疗,具有成熟的理论体系,可抑制VEGF,使血管正常化,增加T细胞在肿瘤中的浸润;可促进DC成熟,促进T细胞致敏和活化。同时,可阻断VEGF,降低MDSC和Treg亚群,建立免疫许可的微环境。目前靶向药物研究日新月异,期待新的靶向药物出现,造福骨与软组织肉瘤患者。