厄洛替尼联合贝伐珠单抗用于≥75岁EGFR突变的老年NSCLC患者的疗效和安全性
在表皮生长因子受体(EGFR)突变的非小细胞肺癌(NSCLC)患者中,EGFR酪氨酸激酶抑制剂(EGFR-TKI)与传统的铂类药物相比显示出显著的生存优势,目前被用作标准治疗。与化疗相比,第一代EGFR-TKI厄洛替尼在Ⅲ期临床试验中被证明可以延长患者的无进展生存期(PFS),是EGFR突变NSCLC患者的一线治疗选择。
在临床实践中,老年NSCLC患者占比大。由于器官功能受损,同时患有多种疾病,他们并不总是能从适用于一般人群的标准治疗中获得临床益处。与传统化疗不同,EGFR-TKI的毒性相对较小,特别是在血液毒性方面,因此适合老年患者。在既往的Ⅱ期研究中评估了厄洛替尼对≥75岁的EGFR突变NCSLC患者的疗效和安全性,结果表明,接受厄洛替尼单药治疗患者的中位PFS为15.5个月,与一般人群相当,且耐受性良好。
贝伐珠单抗是一种单克隆抗血管内皮生长因子(VEGF)抗体,与铂类药物联合使用时显示出较好的治疗效果。与厄洛替尼联合使用时,贝伐珠单抗的疗效优于单独使用厄洛替尼。因此,厄洛替尼和贝伐珠单抗的联合治疗目前是EGFR突变NSCLC患者的一线治疗选择。然而,在老年患者中联合使用贝伐珠单抗和厄洛替尼的临床益处尚不清楚。本研究旨在评估厄洛替尼联合贝伐珠单抗在≥75岁的EGFR突变的老年NSCLC患者中的有效性和安全性。
方法
本研究为单臂、开放标签、多中心Ⅱ期临床试验。入组标准:EGFR突变(19外显子缺失或21 L858R外显子突变)的非鳞状NSCLC患者;ⅢB期,无明确放疗指征,Ⅳ期或复发性疾病;≥75岁;ECOG PS 0~1。患者接受厄洛替尼(150mg/天)和贝伐珠单抗(15mg/kg,21天为一个周期)。根据RECIST v1.1,每2个周期重复评价一次治疗效果。主要终点为无进展生存期(PFS),次要终点为总缓解率(ORR)、疾病控制率(DCR)、总生存期(OS)和安全性。
结果
患者基线特征:
共纳入25例患者,中位年龄为80岁(75~89岁),女性患者18例(72.0%)。16例患者(64.0%)的ECOG PS评分为0,21例(84.0%)患者为IV期。所有患者的组织学类型为腺癌。EGFR 21 外显子L858R突变和EGFR 19外显子缺失的患者分别有15例(60.0%)和10例(40.0%)。中位随访时间为19.7个月(0.9~43.3个月)。
疗效:
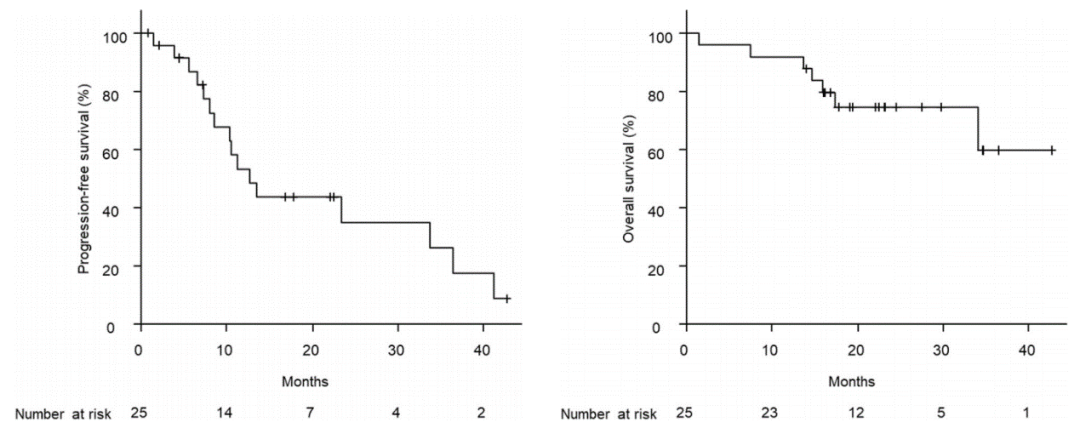
患者的中位PFS为12.6个月(95%CI,8.0~33.7个月)(图1A)。相较EGFR 21 外显子L858R突变亚组,EGFR 19外显子缺失亚组患者可获得更长的中位PFS(33.7个月 vs 12.6个月),但没有显著差异(HR=0.83,95%CI,0.30~2.29,P=0.71),而中位OS未达到(图1B)。

22例(88.0%)患者达到部分缓解(PR),3例(12.0%)患者达到疾病稳定(SD)(图2),ORR为88.0%(95% CI,74.0%~99.0%)和DCR为100%(95%CI,88.7%~100%)。

安全性:
最常见的不良反应为皮疹、恶心和腹泻。2例患者出现肺炎(8.0%),但较轻微(1级)。贝伐珠单抗治疗最常见的不良反应为蛋白尿、出血和高血压。厄洛替尼的中位治疗时间为10.4个月(0.9~43.3个月),16例(64.0%)患者减少了厄洛替尼的剂量,最常见的不良反应为皮疹、恶心。
结论
在EGFR突变的老年NSCLC患者中,厄洛替尼和贝伐珠单抗联合治疗显示了良好的ORR,但因频繁减少剂量和/或停止治疗,生存获益小。
讨论
本研究评估了厄洛替尼联合贝伐珠单抗对EGFR突变的老年NSCLC患者的疗效和安全性。研究结果表明,患者的中位PFS为12.6个月,ORR达88.0%,获益较好,但频繁中断治疗可能导致老年患者接受联合治疗的生存获益有限。贝伐珠单抗的加入提高了老年患者厄洛替尼的短期疗效。本研究中患者的ORR为88.0%,DCR为100%,优于既往使用单药厄洛替尼治疗老年患者的研究数据。并且结果也与评估厄洛替尼和贝伐珠单抗在各年龄组患者中的疗效的Ⅲ期研究结果相似(ORR为72%,DCR为95%)。年龄对贝伐单抗相关不良反应发生的影响具有争议。本次研究中3级或更高不良反应的发生率为48%,低于在所有年龄人群中联合使用厄洛替尼和贝伐珠单抗治疗的发生率(88%)。在本研究中,年龄不是发生严重不良反应的风险因素。这项研究还存在一定局限性:首先,老年患者使用厄洛替尼的最佳剂量,尤其是与贝伐珠单抗联合使用时,尚不清楚;其次,EGFR突变NSCLC患者的新疗法对老年患者的临床益处尚不清楚。因此,对于EGFR突变的老年NSCLC患者的最佳治疗方案仍需进一步研究。
参考文献
Aoshima Y, Karayama M, Inui N, et al. Erlotinib and bevacizumab in elderly patients ≥75 years old with non-small cell lung cancer harboring epidermal growth factor receptor mutations[J].Invest New Drugs,2020,Aug 17.