GioTag真实世界研究最终分析公布:阿法替尼序贯奥希替尼EGFR突变亚裔患者总生存达近4年
要点概览[1]
◆ GioTag研究介绍:GioTag是全球第一个评估一线阿法替尼序贯二线奥希替尼治疗结局的国际多中心观察性研究,该研究的初步分析[2]和中期分析[3]结果令人鼓舞,尤其对于亚裔和Del19患者,阿法替尼序贯奥希替尼可以获得长生存。本次最终分析更新了GioTag研究的阿法替尼序贯奥希替尼的治疗时间(Time On Treatment,TOT)和总生存(Overall Survival,OS)的数据。
◆ 本研究的主要分析结局是治疗时间(定义为从首剂阿法替尼到末剂奥希替尼或死亡的时间),OS为探索性分析。
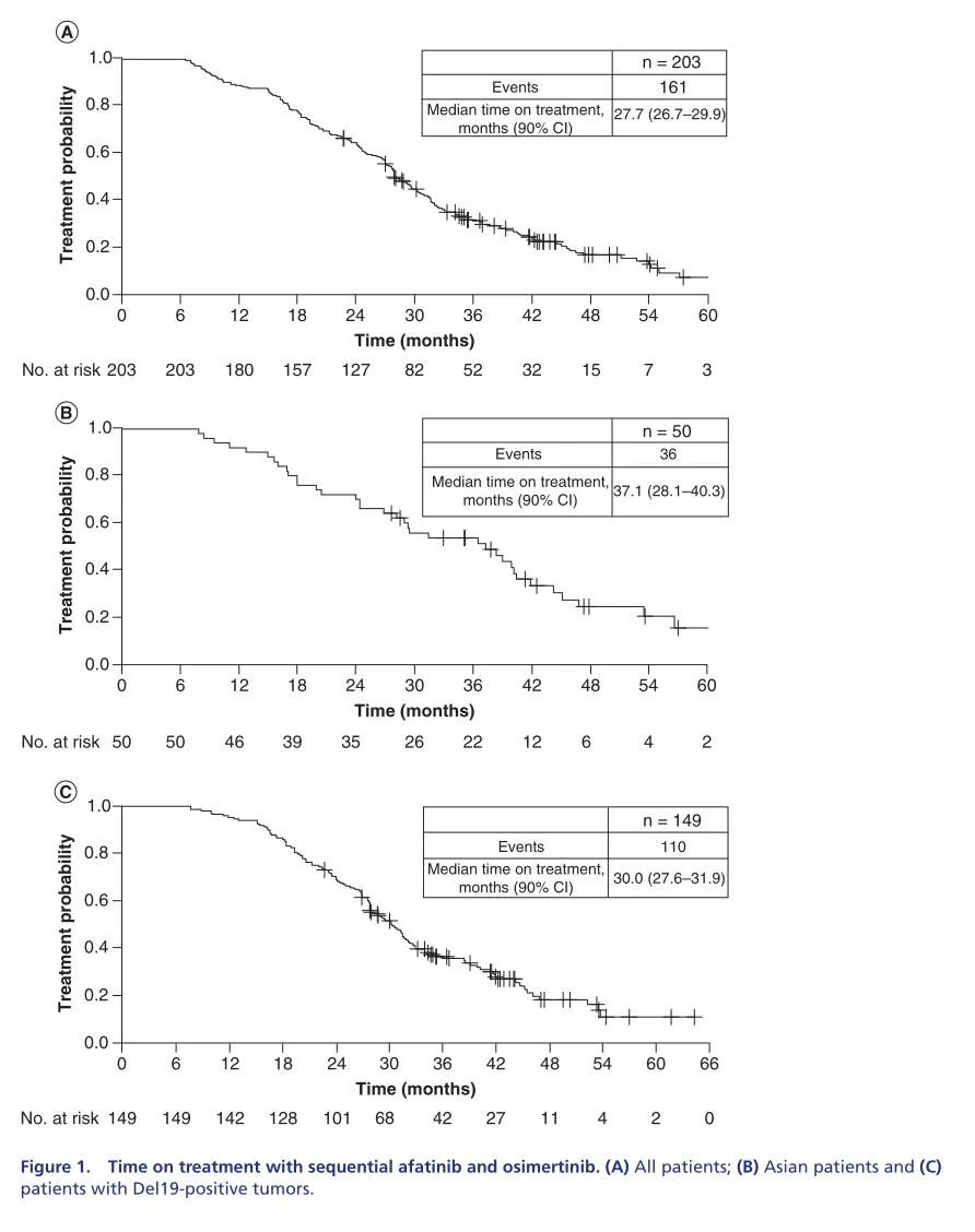
◆ 在203位患者中,阿法替尼序贯奥希替尼的中位治疗时间为27.7个月。Del19阳性患者(中位30.0个月)及亚裔患者(中位37.1个月)的中位治疗时间尤其令人鼓舞。
◆ 总体中位OS为37.6个月,2年生存率为80%。Del19阳性和亚裔患者再次获得特别令人鼓舞的结果:亚裔患者的中位OS为44.8个月,2年生存率为90%;Del19阳性患者为41.6个月;31名Del19阳性亚裔患者中,中位治疗时间为40.0个月,中位OS为45.7个月。
◆ GioTag真实世界研究的最终分析结果证实了先前的分析结果,并证明在真实世界中EGFR突变阳性非小细胞肺癌(NSCLC)患者治疗后发生T790M耐药突变,尤其是亚裔患者和Del19患者,使用一线阿法替尼序贯二线奥希替尼治疗是一种有效可行的治疗策略。
背景
随着表皮生长因子受体酪氨酸激酶抑制剂(EGFR-TKI)的研发,EGFR突变型NSCLC患者的治疗在过去十年来发生了巨大的变革。目前针对于EGFR突变型NSCLC患者的一线EGFR-TKI靶向治疗呈现“三代同堂”的盛况。第一代可逆TKI厄洛替尼和吉非替尼,第二代不可逆ErbB家族阻断剂阿法替尼和达可替尼,以及第三代药物奥希替尼。
随机对照研究中,第二/三代EGFR-TKI相较一代TKI,能提高EGFR突变型晚期NSCLC的一线治疗的无进展生存(PFS),ARCHER 1050、LUX-Lung 7研究显示,对比吉非替尼,达可替尼和阿法替尼具有OS获益或OS获益趋势,FLAURA研究也证实对比一代EGFR TKI(吉非替尼,厄洛替尼),奥希替尼具有OS获益。由于一线EGFR-TKI治疗后不可避免出现获得性耐药,所以后续治疗策略的选择至关重要。
EGFR 20外显子T790M突变是吉非替尼、厄洛替尼和阿法替尼的主要获得性耐药机制,大约占50%~73%,尤其在Del19的患者中尤为常见,但一线奥希替尼使用后的耐药机制相对复杂,所以化疗成为了一线奥希替尼耐药后的常见治疗选择。
GioTag研究是一项全球多中心观察性研究,旨在评估初治EGFR突变阳性(Del19/L858R) NSCLC患者使用阿法替尼序贯奥希替尼的治疗结局。本研究对203例EGFR-TKI初治患者进行了评估,这些患者在“真实世界”中接受阿法替尼一线治疗之后出现T790M突变,随后接受奥希替尼二线治疗。同时,该真实世界研究也纳入了老年患者和预后不良的患者(如ECOG-PS≥2或有稳定脑转移患者),而这些患者通常在被排除在随机临床试验之外。GioTag最初分析和中期分析的结果令人鼓舞(分析的时间分别为2018年5月和2019年4月),现实尤其是对于Del19阳性患者和亚洲患者获益更加明显。本次分析是最终分析,包括更新阿法替尼序贯奥希替尼的中位TOT和患者OS。
方法
研究设计及方法:GioTag是一项在10个国家和地区(奥地利、加拿大、以色列、意大利、日本、新加坡、斯洛文尼亚、西班牙、台湾地区和美国)开展的全球多中心观察性研究(NCT03370770)。入组标准为年龄≥18 岁、携带EGFR常见突变(Del19/L858R)、接受阿法替尼一线治疗且在失败后出现T790M 突变的患者,二线接受奥希替尼治疗。数据收集于2017年12月至2019年12月期间。
主要结局:主要结果是治疗时间(Time On Treatment)定义为从首剂阿法替尼到末剂奥希替尼或死亡的时间。OS分析是探索性的,定义为从阿法替尼治疗开始到死亡的时间。
数据分析:最终分析的数据截止日期为2019年11月28日,包括所有登记患者的数据。
结果
GioTag人群是真实临床实践的写照,除了随机临床试验的患者人群,还纳入ECOG PS≥2的患者(15.2%)和中枢神经系统(CNS)转移患者(10.3%)。患者主要为白人(58.8%),也包括亚裔(24.5%)和非裔美国人(8.8%)。73.5%的患者有Del19突变,26.0%有L858R突变,一名患者同时携带Del19和L858R突变。
大多数患者接受阿法替尼(40mg/d;83.7%)和奥希替尼(80mg/d;98.0%)的起始剂量。一名患者因数据冲突而被排除在分析之外。在最终分析时(2019年12月),120名(59.1%)死亡,31名(15.3%)失访,52名(25.6%)存活;在这52名患者中,29名仍在接受奥希替尼治疗,11名患者已停奥希替尼。
中位数随访33.9个月后,阿法替尼序贯奥希替尼的中位治疗时间为27.7个月(90%可信区间[CI]:26.7-29.9;表1和图1)。亚裔患者(n=50)中位治疗时间为37.1个月(90%CI:28.1-40.3);Del19阳性肿瘤患者(n=149)中位治疗时间为30.0个月(90%CI:27.6-31.9)(表1和图1)。其中奥希替尼二线治疗T790M突变患者的中位治疗时间为15.6个月(90%CI:13.6-17.1),亚裔患者和Del19患者的奥希替尼二线治疗时间分别是18.9个月(90%CI:13.6-23.3)和16.5个月(90%CI:13.6-17.1)。
总体中位OS为37.6个月(90%CI:35.5-41.3),2年生存率为80%(图2)。亚洲患者中位OS为44.8个月(90%CI:37.0-57.8)2年生存率为90%,Del19阳性患者的患者中位OS为41.6个月(90%CI:36.9–45.0)(图2);在Del19阳性的亚洲患者中,OS为45.7个月(90%CI:38.2-57.8)。



讨论
GioTag的最终结果进一步证明,在获得性EGFR T790M阳性的NSCLC患者中,阿法替尼序贯奥希替尼治疗是一种可行且有效的治疗策略。总体上,该群体接受阿法替尼序贯奥希替尼治疗中位时间为27.7个月,与GioTag研究的主要和中期分析结果一致。本研究的OS数据为阿法替尼序贯奥希替尼的最成熟OS分析,Del19阳性患者和亚裔患者的治疗结局尤其良好,两个亚组的中位治疗时间延长,中位OS超过3.5年。在整体人群和亚组中,治疗时间和OS曲线与之前的分析相比没有实质性的变化。此外,一线阿法替尼并未影响二线奥希替尼的治疗时间,总体上患者二线奥希替尼治疗的中位治疗时间为15.6个月,亚裔患者和Del19阳性肿瘤患者平均治疗时间更长,分别为18.9个月和16.5个月。
这些数据与阿法替尼序贯奥希替尼的其他研究一致。在LUX-Lung 3、6和7研究中,37名患者一线阿法替尼后序贯奥希替尼,奥希替尼中位PFS为20.2个月(95%CI:12.8-31.5),中位随访4.7年后未达到中位OS。
那么在实际临床应用中,究竟更倾向于奥希替尼作为一线治疗还是二线治疗?一方面,奥希替尼的良好有效性及耐受性,这些因素支持奥希替尼用于一线治疗。另一方面,在奥希替尼治疗失败后,尚无经过临床验证的靶向治疗,反映了其耐药机制的复杂。FLAURA研究提示,一线奥希替尼组的OS为38.6个月,而第一代EGFR-TKI(吉非替尼或厄洛替尼)组为31.8个月。然而FLAURA研究的347名亚洲患者一线奥希替尼的OS并无获益,HR为1.00(95%可信区间:0.75–1.32;奥希替尼组中位OS为37.1个月,厄洛替尼/吉非替尼组为35.8个月),可见对于亚裔患者,奥希替尼一线治疗并未取得生存获益,未来的工作是如何筛选T790M突变的患者,并确定T790M阴性患者的治疗方案。Del19阳性的患者和亚裔患者,可能更受益于阿法替尼序贯奥希替尼的治疗。
结论
来自真实世界的GioTag研究最终分析证实了先前的分析,并证明针对于T790M突变EGFR阳性NSCLC患者,阿法替尼序贯奥希替尼是一种可行和有效的治疗策略。值得重点指出的是,亚裔患者和Del19患者的中位OS超3.5年,提示合理的TKI药物序贯治疗能为这部分患者争取更长无化疗(chemotherapy-free)长生存时间。
专家点评(周彩存教授)
GioTag模式在真实世界中证实了阿法替尼序贯奥希替尼对于晚期EGFR突变NSCLC患者是有效的治疗策略,亚裔患者中位总生存达近4年(44.8个月)。
GioTag研究中,阿法替尼序贯奥希替尼的研究结果是对随机对照实验的补充,在真实世界实践中,阿法替尼序贯奥希替尼是具有吸引力的治疗策略。ARCHER-1050[4]和LUX-Lung 7[5]这两个研究,分析了达可替尼或阿法替尼治疗后序贯奥希替尼治疗的患者(分别为n=22和n=20),结果显示达可替尼序贯奥希替尼治疗中位OS为36.7月,而阿法替尼序贯奥希替尼OS结果未达(3年OS率约90%)。GioTag真实世界研究[1]进一步验证了阿法替尼序贯奥希替尼的长生存模式。尤其是亚裔患者,GioTag模式的中位OS达到44.8个月。此外,GioTag研究中各亚组患者获益一致,包括预后不良的患者,如脑转移、年龄≥65岁、或ECOG PS≥2,而这些患者通常被排除在随机对照临床试验之外。GioTag研究[2]的主要局限性在于其回顾性、单臂和选择偏倚,实验统计方法已最大程度地降低选择偏倚的可能性,但真实世界就是如此。需要注意的是,GioTag研究规定了数据录入之前10个月患者已经启动了奥希替尼治疗,但这并不意味着患者接受奥希替尼治疗的患者治疗时间>10个月,奥希替尼治疗时间<10个月的患者也是被纳入的,设定10个月作为cut-off值的目的是为了有利数据成熟和避免早期删失。相信证明针对T790M突变EGFR突变NSCLC患者,阿法替尼序贯奥希替尼是一种可行和有效的治疗策略。
专家点评(任胜祥教授)
亚裔患者,Del19患者是GioTag模式优势人群。
GioTag研究最终分析显示,Del19患者中位OS达41.6个月,亚裔患者中位OS达44.8m,亚裔Del19患者的OS更是高达45.7m,提示亚裔患者和Del19患者是GioTag治疗模式的优势人群。既往LUX-Lung系列研究显示,阿法替尼一线治疗EGFR突变NSCLC患者,亚裔患者获益更显著。LUX-Lung 3研究[6]中,阿法替尼一线治疗晚期EGFR突变NSCLC患者,总人群的中位OS为28.2个月;LUX-Lung 3日本亚组中[7],日本患者中位OS达到了46.9个月,日本患者中位总生存优于总人群。LUX-Lung 3研究日本亚组显示,亚裔的日本患者更能从阿法替尼治疗中获益。此外,哪些患者更容易产生T790M是目前需要关注的问题,筛选出这部分患者,使这部分患者更能从TKI序贯治疗中获益。AURA扩展研究和AURA2研究[8]提示,经1/2代EGFR TKI治疗后,Del19患者有73%产生T790M突变,而L858R和EGFR非经典突变患者(除外L858R和Del19)分别有58%和32%产生T790M突变;由此可见Del19的患者经过1/2代EGFR-TKI治疗后,约有3/4的患者产生T790M突变,有更多的机会序贯奥希替尼治疗。GioTag研究也提示亚裔患者和Del19阳性的患者是阿法替尼序贯奥希替尼的优势人群。
专家点评(褚倩教授)
一线阿法替尼治疗后,“纯化”T790M突变,对奥希替尼治疗更敏感。
值得一提的是,GioTag研究中,奥希替尼二线治疗的时间长达15.6个月,其中亚裔患者奥希替尼二线治疗时间更是长达18.9个月。这可能是阿法替尼一线治疗后,“纯化了”T790M突变,提升了奥希替尼对T790M突变的敏感性。一项评估NSCLC细胞耐药机制的基础研究[9]发现,EFGR Del19突变的NSCLC细胞经阿法替尼和厄洛替尼药物处理后大多数出现了T790M耐药突变,但经阿法替尼处理的细胞中T790M等位基因出现频率高于经厄洛替尼处理的细胞。这提示,阿法替尼处理后的T790M突变丰度更高,序贯奥希替尼可能获得更好的疗效。

一项日本的真实世界研究[10]证实了上述基础研究,经阿法替尼治疗后序贯奥希替尼的患者客观缓解率(ORR)和疾病控制率(DCR)显著高于经一代EGFR-TKI治疗序贯奥希替尼的患者(ORR:82.9% vs 53.9%,P=0.0065,DCR:91.4% vs 71.1%,P=0.032),同时PFS也有延长趋势(17.0个月 vs 9.7个月,P=0.164)。由此可见,EGFR突变NSCLC一线经阿法替尼治疗后,所产生的T790M突变的丰度更高,使奥希替尼的敏感性增强,提高治疗应答率,延长奥希替尼二线治疗的PFS。
专家简历

周彩存 教授
医学博士、同济大学教授、主任医师、博士生导师
同济大学附属上海市肺科医院
同济大学医学院肿瘤研究所所长、肿瘤学系主任
中国抗癌协会肺癌专业委员会常委
中国医疗保健国际交流促进会胸部肿瘤分会主任委员
中国医师协会肿瘤分会常务委员
中国抗癌协会肿瘤药物临床研究专业委员会副主任委员
上海市抗癌协会肺癌分子靶向与免疫治疗专业委员会主委
上海市抗癌协会肺癌专业委员会副主任委员
上海市医学会肿瘤学会副主任委员
《Lung Caner》 杂志副主编
《转录 Lung Cancer Research》杂志主编
《中国肺癌杂志》、《肿瘤》、《中国癌症》、《中德临床肿瘤学》等10多个杂志常务编委或编委。
专家简历

任胜祥 教授
同济大学附属上海市肺科医院
肿瘤科副主任医师 副教授 博士生导师
中国医促会胸部肿瘤分会 秘书长
上海市抗癌协会肺癌分子靶向免疫治疗委员会副主委
IASLC奖学金评定委会委员
中国老年病协会肿瘤专业委员会常务委员
上海市抗癌协会肿瘤呼吸内镜学专业委员会常务委员
CSCO 青年委员会常务委员
CSCO 免疫专家委员会委员
上海市曙光人才
专家简历

褚 倩 教授
华中科技大学同济医学院附属同济医院胸部肿瘤科副主任
教授 主任医师 博士生导师
中国临床肿瘤学会非小细胞肺癌专家委员会委员
中国临床肿瘤学会患者教育专家委员会副秘书长
中国临床肿瘤学会免疫治疗专家委员会委员
中国医促会胸部肿瘤分会委员
中国抗癌协会青年理事会常务理事
湖北省临床肿瘤学会青年专家委员会主任委员
湖北省临床肿瘤学会免疫治疗专家委员会候任主委
湖北省免疫学会肿瘤精准治疗专业委员会候任主委
参考文献
[1] Maximilian J Hochmair, et al., Sequential afatinib and osimertinib in patients with EGFR mutation-positive non-small-cell lung cancer: final analysis of the GioTag study. Future Oncol . 2020 Aug 28. doi: 10.2217/fon-2020-0740. Online ahead of print.
[2] Hochmair, M.J., et al., Sequential treatment with afatinib and osimertinib in patients with EGFR mutation-positive non-small-cell lung cancer: an observational study. Future Oncol, 2018. 14(27): p. 2861–2874.
[3] Maximilian J Hochmair,et al. Sequential afatinib and osimertinib in patients with EGFR mutation-positive non-small-cell lung cancer: updated analysis of the observational GioTag study. Future Oncol. 2019 Sep;15(25):2905-2914.
[4] M o k T S , C h e n g Y , Z h o u X et al. Improvement in overall survival in a randomized study that compared dacomitinib with gefitinib in patients with advanced non-small-cell lung cancer and EGFR-activating mutations. J. Clin. Oncol. 36(22), 2244–2250(2018).
[5] Paz-Ares L, T an E-H, O’Byrne K et al. Afatinib versus gefitinib in patients with EGFR mutation-positive advanced non-small-cell lung cancer: overall survival data from the Phase IIb LUX-Lung 7 trial. Ann. Oncol. 28(2), 270–277(2017).
[6] James Chih-Hsin Yang,et al. Afatinib versus cisplatin-based chemotherapy for EGFR mutation-positive lung adenocarcinoma(LUX-Lung 3 and LUX-Lung 6): analysis of overall survival data from two randomised, phase 3 trials. Lancet Oncol.2015 Feb ;16(2):141-51
[7] Terufumi Kato ,et al. Afatinib versus cisplatin plus pemetrexed in Japanese patients with advanced non-small cell lung cancer harboring activating EGFR mutations: Subgroup analysis of LUX-Lung 3. Cancer Sci.2015 Sep ;106(9):1202-11
[8] Suzanne Jenkins, et al. EGFR Mutation Analysis for Prospective Patient Selection in Two Phase II Registration Studies of Osimertinib. J Thorac Oncol.2017 08 ;12(8):1247-1256
[9] Shinji Kohsaka, et al. Tumor clonality and resistance mechanisms in EGFR mutation-positive non-small-cell lung cancer: implications for therapeutic sequencing. Future Oncol.2019 Feb ;15(6):637-652
[10] Tamiya M, Tamiya A, et al. Which Is Better EGFR-TKI Followed by Osimertinib: Afatinib or Gefitinib/Erlotinib? ANTICANCER RESEARCH 39: 3923-3929(2019).