INSPIRE研究 循环肿瘤DNA或可用于帕博利珠单抗治疗的疗效预测和预后判断
PD-1/PD-L1单抗是近几年肿瘤治疗领域炽手可热的明星药物,在不同的实体瘤中表现不凡,甚至创造了不少奇迹。但免疫治疗捉摸不定的有效率一直是困扰临床医师多年的难题。目前临床应用的PD-L1表达检测和肿瘤突变负荷(TMB)等疗效预测指标均无法精确识别免疫治疗适用人群。近期Nature Cancer刊发了一项名为INSPIRE的II期前瞻性临床研究的结果,该研究评估了血浆循环肿瘤DNA(ctDNA)用于帕博利珠单抗疗效预测的可能,结果表明ctDNA的个体化表达水平和患者生存时间密切相关,治疗过程ctDNA的动态变化和疗效具有强烈相关性,ctDNA血浆水平的清除甚至能比影像学检查更早判断疗效。该研究为ctDNA作为免疫治疗生物标志物提供了有力证据。

研究背景
免疫检查点抑制剂(Immune checkpoint blockade, ICB)类药物在恶性肿瘤治疗史上是里程碑式的突破,虽然该类药物常常取得令人惊喜的疗效,但目前免疫治疗的总体有效性不到20%。临床常用的免疫治疗疗效预测标记物比如PD-L1免疫组化表达,以及肿瘤突变负荷(tumor mutation burden, TMB)等,但精准性还是不尽人意。此外,理想的疗效标记物不仅要能精确捕捉免疫治疗受益人群,还需要显示整个治疗过程中患者临床获益和预后的动态变化,因此免疫组化等传统检测更是难挑重担,寻找新的免疫治疗疗效标记物意义重大。
外周循环肿瘤DNA(circulating tumor DNA, ctDNA)为寻找理想预测指标提供了新的方向,一些原理验证阶段的研究表明ctDNA表达水平及其变化或可用于免疫治疗疗效预测和动态评估,作为一种新型无创监测手段潜力可观,但还缺乏充分的临床证据。INSPIRE研究监测了接受PD-1抑制剂帕博利珠单抗治疗的晚期肿瘤患者血浆ctDNA水平及其变化,进而进行疗效预测和预后判断,结果表明血浆ctDNA可以作为一个预测患者是否对免疫治疗反应的良好指标,且ctDNA的变化能初步判断患者的后续治疗反应和生存时间,ctDNA作为免疫治疗治疗疗效指标及治疗过程中的动态生物标记物具有巨大潜力。
研究设计
INSPIRE是一项前瞻性II期临床研究,共纳入106例晚期恶性肿瘤患者。根据瘤种分为五个队列:头颈部鳞状细胞癌(SCCHN)、三阴性乳腺癌(TNBC)、高级别浆液性卵巢癌(HGSOC)、恶性黑色素瘤(MM)和其他实体瘤(MST)。所有患者均接受帕博利珠单抗治疗。94名(89%)患者的肿瘤组织进行了NGS法全基因组测序(WES),明确肿瘤细胞中的基因突变谱,基于每个患者的肿瘤细胞基因突变谱分别进行个体化的血浆循环肿瘤DNA检测,每个患者检测的循环肿瘤DNA基因数目控制在16个以内。研究终点包括总生存期(OS),无疾病进展生存期(PFS),客观缓解率(ORR)以及临床获益率(CBR)。另一个重要的终点为血浆ctDNA表达水平和疗效的相关性。
研究结果
个体化ctDNA基线水平是预测疗效和判断预后的敏感指标
研究组首先检测并确定了患者的ctDNA表达起始基线,三阴性乳腺癌和其他实体瘤组群的基线水平最高,而恶性黑色素瘤组基线水平最低。对于低于中位基线水平的患者其OS更长(HR:0.49;95% CI 0.29–0.83),PFS也更长(HR:0.54;95% CI 0.34–0.85)。基线ctDNA水平低的患者群体的临床获益率CBR也明显更高(OR=3.24, 95% CI 1.19–8.8),但在ORR差异不明显(OR=2.57, 95% CI 0.82–8.08)(图1)。

图1 ctDNA基线水平和OS/PFS 密切相关
血浆ctDNA动态变化可进一步预测免疫治疗获益情况
研究者检测了患者接受3个周期的帕博利珠单抗治疗后的ctDNA水平(ctDNAC3)。在可评估的73例患者组群中,有33名患者的ctDNA水平较基线下降,其中14(42%)人病情达到客观缓解;而在40名ctDNA水平较基线上升的患者中,只有1人(2%)出现客观缓解(OR:28.74, 95% CI 3.51–253.04)(图2)。三个周期治疗后ctDNA水平下降意味着患者能获得更好的OS(HR 0.36, 95% CI 0.18–0.71)和 PFS(HR 0.33, 95% CI 0.19–0.58)(图3)。帕博利珠单抗治疗后的ctDNA水平下降可作为TMB和PD-L1表达水平之外的孤立预测标志物,如果和实体瘤疗效评价标准(RECIST)联合使用能获得关于生存获益更准确的预测和评估。

图2 ctDNAC3水平和临床缓解相关

图3 ctDNAC3水平和OS/PFS相关
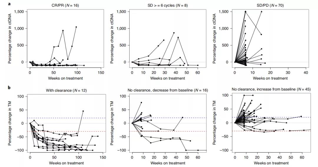
治疗过程若出现血浆ctDNA的清除预示着更好的临床获益
治疗过程如果ctDNA水平较基线升高,意味着可能出现肿瘤的快速进展和较短的生存期(中位OS为13.7个月),如果监测治疗期间ctDNA水平较基线下降,这个组群的中位OS可达23.8个月,值得注意的是有12名患者在治疗的不同阶段出现血浆ctDNA清除的情况,这部分患者表现出了优异的药物客观反应(图4),在长达25.4个月的随访中OS为100%。此外在治疗期间同时出现影像学缓解和ctDNA清除的患者身上,ctDNA清除早于影像学变化出现,这意味着ctDNA用于监测药物治疗反应可能比影像学手段更为敏感。

图4 ctDNA监测水平和ORR相关性
讨论
免疫治疗的有效率一直以来都困扰着临床医生,因为缺乏对免疫治疗疗效实现精准预测,只有少部分幸运的患者能从中受益,这一问题亟需解决。目前已经使用或处于热门研究的预测指标包括PD-L1表达水平、TMB、微卫星不稳定性(MSI)、错配修复缺陷(dMMR)、肿瘤新生抗原(Neoantigen)、EBV以及外周血特殊表型单核细胞数量等等。不同的预测指标各有优点和劣势,适用的肿瘤类型和检测手段各不相同。
本研究的核心血浆ctDNA被证实作为免疫治疗疗效的预测标志物潜力可观,ctDNA基线水平的高低和患者的OS和PFS具有很强的相关性。在治疗过程中监测到的ctDNA动态表达水平依然也和患者ORR密切相关,在ctDNA水平增加的情况下,ICB类药物可能难以获益。最为值得关注的是治疗过程中部分患者出现的ctDNA清除,这一孤立的特征在本研究中表现出了极好的临床获益,且这一特征与肿瘤类型、TMB或PD-L1状态无关。本研究还揭示了ctDNA的另一种优势,即在进行疗效评价时,ctDNA的变化可能早于影像学改变的出现,这对于鉴别免疫治疗常常出现的影像学假性进展提供了另一种理论上的可能。
ctDNA的个体化检测为免疫治疗的生物标志物开启了一扇新的大门,有理论基础,有临床数据支撑,而且快捷无创,能实现动态重复监测,极可能是下一个临床广泛应用的疗效预测指标。但评价一个标志物预测效能的不仅仅是临床客观反应率,还必须有敏感性、特异性、阳性预测值、阴性预测值等多重指标的考验。未来的免疫治疗预测指标也可能不是一个标志物单打独斗,因为每种标志物各有优势和短板,多重标志物的联合评估或许是未来研究的趋势和方向。
参考文献
[1] Kim ST, et al.Comprehensive molecular characterization of clinical responses to PD-1inhibition in metastatic gastric cancer [J]. Nature Medicine, 2018
[2] Scott V. Bratman. et al. Personalized circulating tumor DNA analysis as a predictive biomarker in solid tumor patients treated with pembrolizumab [J].Journal of Clinical Oncology, 2020