肠道菌群分析预测局部晚期直肠癌新辅助放化疗疗效研究
11月22日,在以虚拟形式召开的欧洲肿瘤内科学会亚洲大会(ESMO Asia 2020)上,复旦大学附属肿瘤医院章真教授牵头的研究入选大会口头报告(MO80),博士研究生易雨曦代表研究团队进行报告,分享了研究成果。

随着直肠癌治疗进入精准治疗时代,越来越多的研究在探索新的标志物用于预测直肠癌新辅助放化疗疗效,包括影像组学、肿瘤类器官、液态活检等。近年来,多项研究提示,肠道菌群参与宿主的免疫调控及凋亡、自噬等通路调节,可能影响抗肿瘤免疫治疗和化疗的疗效。调节肿瘤免疫微环境也是放化疗效应发挥的环节,然而目前关于肠道菌群如何影响放化疗疗效,尚缺乏研究证据。因此,本研究期望通过评价新辅助放化疗疗效与菌群的相关性,探讨局部晚期直肠癌患者中肠道菌群的疗效预测价值。
研究共纳入84例在复旦大学附属肿瘤医院放疗中心接受新辅助放化疗的局部晚期直肠癌患者,收集其治疗开始前和治疗完成后的粪便样本各84份和83份;并招募了31例健康人,收集其粪便样本共31份作为对照。研究人员对这198份样本进行了16S rRNA测序,并前瞻性地收集了所有患者的基线数据及临床资料。根据AJCC第八版肿瘤退缩评分(Tumor regression grade,TRG),将评分0~1分的患者归为优效组(Responder,R组),评分2~3的患者归为劣效组(Non-responder, NR组)(图1)。

研究结果分为四个部分。主坐标轴分析提示,患者和健康人菌群构成存在显著差异。特别地,研究人员注意到患者菌群特征存在异质性,进一步采用无监督层次聚类的方式,根据菌群特征将患者分为1型和2型。其中1型与健康人菌群构成差异显著(P=0.001),2型则与健康人菌群相似(P=0.14)。比较两类患者对新辅助放化疗的应答率发现,2型患者的疗效应答率显著高于1型(P=0.006)。这提示局部晚期直肠癌患者中存在的菌群异质性可能与疗效相关(图2)。

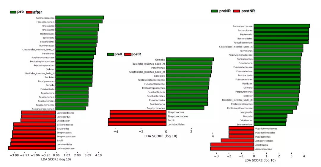
为了解新辅助放化疗对肠道菌群构成的影响,研究人员进一步比较了治疗前后粪便样本中的菌群变化。结果发现,既往报道过的结直肠癌相关致病菌丰度在治疗后的粪便样本中显著下降;而有益共生菌,包括乳杆菌、链球菌属等丰度增加。特别地,有益共生菌的增加仅见于整体分析和优效组分析中,未见于劣效组。这提示,放化疗前后患者粪便菌群变化可能也与放化疗疗效相关(图3)。

考虑到治疗本身及不良反应均可能影响肠道菌群构成,研究人员聚焦于新辅助放化疗前的基线样本,以发掘潜在的疗效预测生物标志物。结果发现,一些与短链脂肪酸代谢相关的细菌在优效组中显著富集,而梭杆菌属(Fusobacterium)等在劣效组中显著富集(图4)。

基于前期差异分析的结果,研究人员构建了以特征细菌作为预测变量的随机森林分类器(图5)。在由19例优效患者和18例劣效患者组成的训练集中,模型的曲线下面积达94%,在26例优效患者和21例劣效患者组成的验证集中,模型的曲线下面积达74%。下表总结了模型在cut off值为0.5时的分类器的预测表现(表1),可见训练集和验证集中特异度和阳性预测值均达到80%以上。提示该模型对于TRG 0~1分的优效患者的预测效果较好。


该项研究初步提示,局部晚期直肠癌患者肠道菌群特征与新辅助放化疗疗效具有相关性,差异分析及疗效预测分类器的构建揭示,基线肠道菌群具有提供疗效预测生物标志物的潜在价值。这些潜在的肠菌标志物未来有待更大样本量验证及进一步的机制研究,以阐明其在局部晚期直肠癌中的作用。
来源:
80MO - Yuxi Yi, Lijun Shen, Wei Shi, Fan Xia, Hui Zhang, Yan Wang, Jing Zhang, Yaqi Wang, Xiaoyang Sun, Zhiyuan Zhang, Wei Zou, Wang Yang, Lingyi Zhang, Ji Zhu, Yanlei Ma, Zhen Zhang. Gut microbiome analysis for predicting neoadjuvant chemoradiotherapy response in locally advanced rectal cancer patients.ESMO Asia Virtual Congress 2020(20-22 November).