Lorlatinib治疗二代ALK-TKI耐药的ALK阳性NSCLC颅内和颅外疗效大揭秘
Lorlatinib是一种强效入脑的三代ALK-TKI,对ALK阳性非小细胞肺癌(NSCLC)具有良好的活性。近日,《肿瘤学年鉴》(Annals of Oncology)上公布了一项Ⅱ期研究,报道了Lorlatinib在使用二代ALK-TKI后进展的ALK阳性NSCLC中的总体、颅内和颅外疗效(NCT01970865)。既往接受过≥1种二代ALK-TKI的患者中,客观缓解率(ORR)达39.6%,颅内ORR达56.1%,颅外ORR达36.7%,中位缓解持续时间(DoR)为9.6个月,中位无进展生存(PFS)为6.6个月,中位总生存(OS)为20.7个月。对于既往接受不同的二代ALK-TKI治疗的患者,Lorlatinib的疗效如何?既往是否接受过化疗,对Lorlatinib的疗效又有怎样的影响?
研究设计
研究纳入≥18岁、ECOG PS评分0~2分、至少具有1个可测量的颅外病灶的ALK或ROS1融合转移性NSCLC。允许纳入经治后无症状和未经治的中枢神经系统(CNS)转移患者,并且可以为新诊断的或手术、全脑放疗或立体定向放疗后的进展性疾病。放疗必须在入组2周内完成;立体定向放疗或小照射野的脑部放疗必须在入组前至少2周完成;全脑放疗必须在入组前至少4周完成。
患者入组到扩展队列(EXP),根据患者的ALK状态(EXP1-5)或ROS1状态(EXP6)和治疗史分成不同的子队列。本次分析包括ALK阳性且既往接受过≥1种二代ALK-TKI的患者(EXP3B-5)。主要研究终点为ORR和颅内ORR,其他终点还包括总体和颅内DoR、PFS、OS和安全性。

图1. 研究设计,本次分析针对蓝色虚线框内的EXP3B-5队列
研究结果
EXP3B-5队列(既往接受过≥1种二代ALK-TKI)中,共139例患者既往接受≥1种二代ALK-TKI,其中95例(68.3%)患者基线合并脑转移,67例(48.2%)患者既往接受过脑部定向放疗。与既往脑部定向放疗的中位间隔时间为13个月。大多数患者在接受Lorlatinib治疗前的末次治疗接受了阿来替尼(44.6%)或塞瑞替尼(33.8%)治疗。
表1. 既往接受≥1种二代ALK-TKI的患者基线情况

数据截止时,26例(18.7%)患者仍接受治疗。EXP3B-5队列、EXP3B队列(既往接受过1种二代ALK-TKI)和EXP4-5队列(既往接受过≥2种二代ALK-TKI)的中位治疗持续时间为10.1个月、8.7个月和10.1个月。
整体疗效
- EXP3B-5队列的ORR为39.6%,其中3例达到完全缓解(CR),52例达到部分缓解(PR)。中位DoR为9.6个月。中位PFS为6.6个月,中位OS为20.7个月。
- EXP3B队列的ORR为42.9%,其中1例达到CR,11例达到PR。中位DoR为6.2个月。中位PFS为5.5个月,中位OS为38.5个月。
- EXP4-5队列的ORR为38.7%,其中2例达到CR,41例达到PR。中位DoR为9.9个月。中位PFS为6.9个月,中位OS为19.2个月。
表2. 整体疗效和根据既往是否接受过化疗分层分析的疗效

根据既往是否接受过化疗分层分析的疗效
- 对于既往接受过化疗的患者而言,EXP3B-5队列、EXP3B队列和EXP4-5队列中这类患者的ORR分别为43%、41.7%和43.2%。
- 对于既往未接受化疗的患者而言,上述三个队列中这类患者的ORR分别为32.6%、43.8%和26.7%。
颅内和颅外疗效
- EXP3B-5队列的139例患者中,57例(41%)患者基线具有可测量的CNS病灶,颅内ORR为56.1%。该队列所有患者的颅外ORR为36.7%。中位颅内DoR为12.4个月,中位颅外DoR为9.7个月。

图2. EXP3B-5队列中,患者CNS转移灶(上)和颅外肿瘤(下)体积较基线最佳变化百分比的瀑布图
- EXP3B队列的28例患者中,9例(32.1%)患者基线具有可测量的CNS病灶,颅内ORR为66.7%。该队列所有患者的颅外ORR为32.1%。中位颅内DoR为20.7个月,中位颅外DoR尚未达到。
- EXP4-5队列的111例患者中,48例(43.2%)患者基线具有可测量的CNS病灶,颅内ORR为54.2%。该队列所有患者的颅外ORR为37.8%。中位颅内DoR为12.4个月,中位颅外DoR为7.1个月。
为了排除患者因为对放疗的延迟反应而归因于Lorlatinib疗效的可能性,研究还将Lorlatinib治疗前<8周和<12周内接受过放疗的患者排除,对剩余患者进行颅内活性的疗效分析,结果显示这部分患者的颅内疗效(ORR和DoR)与基线具有可测量CNS病灶的所有患者的报道一致,提示Lorlatinib治疗前8或12周完成的放疗对颅内疗效没有影响。
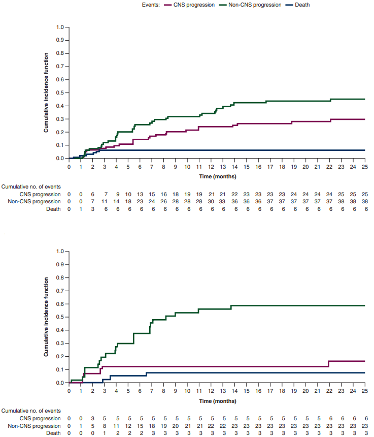
此外,竞争风险分析表明,Lorlatinib治疗后的首次疾病进展方面,CNS进展较非CNS进展的可能性更低,尤其是在基线无CNS转移的患者中,CNS初次进展的可能性在2年内始终较低。

图3. 基线合并CNS转移(上)和基线无CNS转移(下)患者的CNS进展、非CNS进展或死亡的累积发生率
根据既往接受的末次二代ALK-TKI分层分析的疗效
EXP3B-5队列中,既往末次接受阿来替尼、Brigatinib和塞瑞替尼的患者,ORR分别为40.3%、37.5%和40.4%,颅内ORR分别为40.5%、40%和55.6%。
表3. 根据既往接受的末次二代ALK-TKI分层分析的疗效

安全性
Ⅰ/Ⅱ期研究中,所有接受Lorlatinib推荐剂量(100mg QD)治疗的ALK/ROS1阳性患者(n=295)均纳入安全性分析。此前已报道过安全性数据,本次报道延长了16.33个月中位随访时间,未发现新发安全性信号。由于治疗相关不良事件(TRAE),25.4%的患者发生药物减量,81.7%的患者发生暂时性剂量中断,3.4%的患者停药。
结论与讨论
尽管临床已经拥有有效的二代ALK-TKI,但是CNS转移以及ALK耐药突变仍然是ALK阳性晚期NSCLC治疗过程中的难题。本研究中,三代ALK和ROS1抑制剂Lorlatinib在既往接受过≥1种二代ALK-TKI的ALK阳性晚期NSCLC患者中显示出强大的整体和颅内抗肿瘤活性。EXP3B-5队列的更新数据与此前报道的结果非常吻合,值得注意的是,本研究发现无论患者既往是否接受过化疗,整体ORR都相似。EXP3B-5队列中,基线合并脑转移的患者比例高达68.3%,Lorlatinib在颅内和颅外都表现出出色的疗效。近期的Ⅲ期CROWN研究也显示,Lorlatinib一线治疗具有可测量CNS病灶的ALK阳性晚期NSCLC患者,颅内ORR达到82%。本研究的竞争风险分析也与前期结果一致,表明首次颅外进展的可能性整体较低,并支持Lorlatinib还具有预防脑转移的作用。
探索性分析显示,不论既往接受的末次二代ALK-TKI为何,患者的ORR和颅内ORR均相似。颅内ORR的差异可能源于子队列基线合并脑转移患者的样本量过小。Lorlatinib的安全性与既往报道一致,未发现新发安全性信号,高胆固醇血症和高甘油三酯血症是最常见的TRAE,主要为1~2级。Ⅰ期研究表明,通过适当的降脂治疗和剂量中断或调整,这些TRAE通常都便于管理。因此,Lorlatinib为二代ALK-TKI治疗耐药的ALK阳性晚期NSCLC患者提供了有效的治疗选择。
参考文献
Felip E, Shaw AT, Bearz A, et al. Intracranial and extracranial efficacy of lorlatinib in patients with ALK-positive non-small-cell lung cancer previously treated with second-generation ALK TKIs. Ann Oncol. 2021 May;32(5):620-630.