多少运动量,可以抵消掉10小时久坐带来的健康危害

众所周知,久坐不动会给身体带来各种健康风险。此前一项荟萃分析表明,每天需要60到75分钟的中到高强度运动才能抵消掉与久坐相关的死亡风险。但每天单独拿出60分钟运动,恐怕很少有人能做到吧?
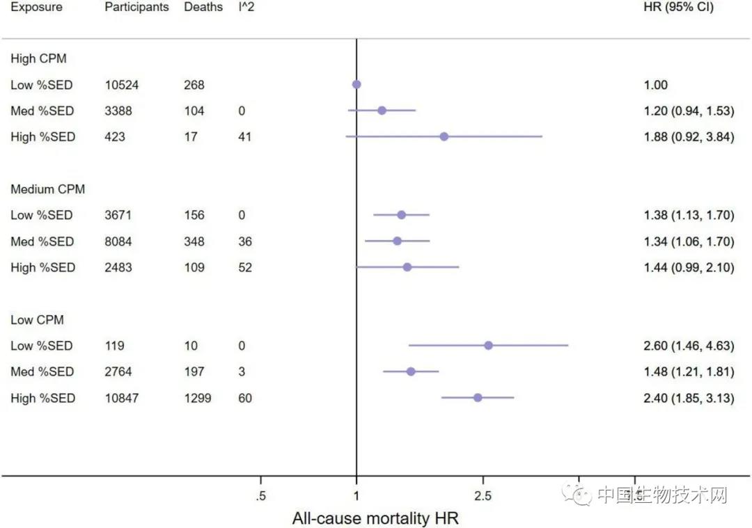
北京时间11月26日,发表在《英国医学杂志(BMJ)》子刊《British Journal of Sports Medicine(英国运动医学杂志)》上的一项新研究中,由美国哈佛大学T.H Chan公共卫生学院、瑞典卡罗林斯卡医学院和挪威体育科学学院等机构的40名科学家对9项研究的荟萃分析表明,每天30到40分钟的中到高强度体育活动,可以抵消掉10小时久坐给身体带来的负面影响,以降低全因死亡率(各种原因导致的死亡)。这听起来,比每天60到70分钟的运动量压力小了一半。当然,任何一种运动,哪怕只是站起来都会对健康有一定的帮助。

这9项研究涉及的对象,来自四个不同国家的44370人,平均年龄65.8岁(标准差±8.6岁),他们都佩戴了某种类型的可穿戴追踪设备。研究人员对他们进行了4到14.5年的随访。期间3451人死亡。
在这些研究队列中,参与者久坐的平均时间为8.5到10.5小时/天;中到高强度体育活动从8分钟/天到35分钟/天不等。
分析发现,与对照组相比(最高运动量/最少久坐时间),随着中到高强度体育活动的时间减少,死亡风险也随之上升。

研究人员说:“在每天达到30到40分钟中等强度到剧烈运动的活跃个体中,久坐时间长与死亡风险之间的关系与那些久坐时间较低的人没有显著差异。换句话说,进行一些频繁的活动,如骑自行车、健步走等,可以将你早逝的风险降低到与不怎么久坐的个体一样。这种联系可以从成千上万人积累的数据中看到。”
虽然像这样的元分析总是需要在不同的志愿者、时间尺度和条件的不同研究中加入一些精心设计的要素,但这一特定研究的好处在于它依赖于来自可穿戴设备的相对客观数据,而不是参与者自己报告的数据。
这项研究与世界卫生组织更新的《2020版身体活动和久坐行为全球指南》一起发布(见下一篇推送),由来自全球的40名科学家共同完成。
《英国运动医学杂志》的联合编辑、澳大利亚悉尼大学的体育运动和人口健康研究员Emmanuel Stamatakis说:“这些指南非常及时,因为我们正处于一场全球性的新冠大流行之中,新冠肺炎使人们长时间待在室内,导致久坐行为增加。但我们仍然可以保护自己的健康,抵消缺乏运动带来的有害影响。正如这些指南所强调的那样,所有的体育运动都是有价值的,无论运动量多少,运动总比不动好。”
这项基于健康追踪器的研究与世卫组织的新指南基本一致,该指南建议每周进行150至300分钟的中等强度的运动,或75至150分钟的高强度运动,以抵消久坐带来的危害。
研究人员建议,把坐电梯改为爬楼梯、和孩子或宠物玩耍、参加瑜伽或跳舞、做做家务、散步、骑自行车,这些都是人们可以让自己更活跃的方式。如果你不能马上安排好30到40分钟的运动,那就从小事做起。
尽管30到40分钟的运动时间框架与之前的研究相符,但对所有年龄和体型的人提出建议是比较困难的。随着越来越多的数据被公布,我们应该更多地了解如何在不得不长时间坐在办公桌前的情况下保持健康。
Stamatakis说:“尽管新指南反映了现有的最佳科学数据,但我们的知识仍存在一些空白。例如,我们还不清楚对于久坐,多久算久?但这是一个快节奏的研究领域,我们希望在几年内能找到答案。”
论文链接:
https://bjsm.bmj.com/content/54/24/1499