伴复发转移的口腔黏膜黑色素瘤长期生存患者的临床特征及预后分析

[摘要]背景与目的:口腔黏膜黑色素瘤(oral mucosal melanoma,OMM)侵袭性极强,预后极差,在大量长期生存的病例中依然可见肿瘤复发或转移的情况。探讨长期生存的OMM患者的临床病理学特征,分析其与预后的相关性。方法:回顾性分析上海交通大学医学院附属第九人民医院2010年1月—2020年1月收治的总生存期(overall survival,OS)>60个月的OMM患者的临床资料,筛选出发生过复发或转移的病例,多因素方差分析其临床病理学特征与预后的关系。结果:106例OMM患者出现了复发或转移,口腔新发黑色病变是最常见的复发类型(60/106),其中反复复发的病例多达43%(46/106)。单因素分析结果显示,肿瘤的TNM分期(P=0.03)和冷冻治疗新发口腔黑色病变(P=0.005)与OS密切相关。多因素分析结果显示,肿瘤的TNM分期(P=0.03)和活检类型(P<0.000 1)是与无事件生存期(event-free survival,EFS)密切相关的孤立预后因素。结论:口腔新发黑色病变是OMM患者最常见的复发类型,需尽早冷冻或扩大切除;冷冻治疗与手术扩大切除相比,操作简单,创伤小,可提高患者的生存质量。
[关键词] 口腔黏膜;黑色素瘤;复发;冷冻治疗
[Abstract]Background and purpose: Oral malignant melanoma(OMM) is extremely aggressive and has a poor prognosis.Tumor recurrence or metastasis is still found in many long-term survival cases. The objective of this study was to investigate the clinical characteristics of patients with long-term survival of OMM and analyze its correlation with prognosis. Methods: This was a retrospective cohort study, and data of relapsed OMM patients with an overall survival of >60 months were collected. Predictor variables included sex, age, anatomic site, pigmentation history, tumor type, tumor size, biopsy type, satellite lesions, TNM-staging status and effective treatment. Event-free survival(EFS) and survival after relapse were used as survival analysis. Results: A total of 106 patients were enrolled, 66%(70/106) of whom suffered local recurrence. New pigmentations occurred in 86%(60/70) of relapsed OMM patients, and most of them(82%) were aggressive. TNM-staging status(P=0.03) and treatment mode(P=0.005) were associated with survival after relapse.TNM-staging status(P=0.03) and biopsy type(P<0.0001) were independent and poor prognostic factors for EFS. Conclusion: New oral pigmentations are the most common recurrent type of OMM patients, which need to be frozen or have extended resection as soon as possible; compared with surgical extended resection, cryotherapy is simple with less trauma, and can improve the quality of life.
[Key words] Oral mucosa; Melanoma; Relapse; Cryotherapy
口腔黏膜黑色素瘤(oral mucosal melanoma,OMM)是一类罕见的、原发于口腔黏膜的恶性肿瘤,仅占口腔恶性肿瘤的0.26%~0.50%[1-2]。其预后极差,即使在联合了手术、化疗、放疗及免疫治疗等综合治疗手段后,5年生存率仍只有15%~35%[3-6]。虽然国内外各研究中心进行了很多研究旨在提高OMM的生存率,包括更大的手术安全缘、更加精准的颈淋巴结清扫时机以及改变活检方式等,但收效甚微[7-9]。
上海交通大学医学院附属第九人民医院是国内领先的OMM治疗中心,每年治疗100余例原发性OMM患者,且有大量的OMM随访病例。本中心近10年的随访发现,即使被认为已取得良好治疗效果的患者仍然饱受复发或转移之苦,甚至有很多病例在10年后还出现复发或转移的情况。其中最常见的复发情况即为口腔新发黑色病变,这些黑色病变发病初期大多是表面光滑、平坦、色泽均匀及与黏膜基本平齐,对这些新发黑色病变的处理目前还存在争议。为解决这些疑问,本研究借助上海交通大学医学院附属第九人民医院庞大的OMM病例库,力求更全面地揭开长期生存的OMM患者的临床特征及分期预后因素。
1
资料和方法
1.1 病例资料
收集上海交通大学医学院附属第九人民医院·口腔医学院口腔颌面-头颈肿瘤科2010年1月—2020年1月收治的OMM患者的病例资料,分析数据并对患者进行随访,纳入标准包括:① 原发灶病理学检查确诊为OMM;② 总生存期(overall survival,OS)>60个月;③ 有复发或转移病史。最后,共106例患者符合条件纳入研究。① 排除标准:患者有第二原发恶性肿瘤;② 诊断时有远处转移或肿瘤不能切除。本研究得到了上海交通大学医学院附属第九人民医院伦理委员会的批准。
研究变量包括:性别、年龄、原发部位、色素沉着史、肿瘤类型、肿瘤大小、活检类型、卫星灶及TNM分期等临床特征。
1.2 治疗方法
治疗原发肿瘤前,所有病例都进行了活检,活检形式主要分为完整切除活检及切取活检两种。切取活检又包括术前冰冻活检(活检时间距离扩大切除时间短)及一般切取活检(活检时间距离扩大切除时间长)。
长期随访(60个月以上)可以更全面地了解OMM的生物学行为及信息。本研究高度重视在经过根治性切除、辅助化疗或放疗后出现的口腔新发黑色病变。本研究对这些黑色病变的治疗措施包括严密观察、根治性切除及冷冻治疗。冷冻治疗是在局麻下进行,采用一种特殊的冷冻装置(型号:HX17-YDQ-500,北京中西远大科技有限公司产品),冷冻媒介为液氮,冷冻方法:将液氮通过冷冻器在黑色病变及其周围0.5~1.0 cm区域内进行均匀、缓慢喷射,喷射时间与黑色病变范围相关,融化时间至少为冻融时间的2倍,一般冷冻2个周期(图1A~B)。

1.3 统计学处理
主要观察指标为无事件生存期(event-free survival,EFS)及OS,EFS为病理学检查确诊到出现任何疾病复发或转移的时间,OS为确定首次复发或转移到死亡日期或随访时间节点(2020年1月1日)。采用SAS 9.3软件进行统计学分析,组间比较采用方差分析,多因素分析采用COX回归模型,P<0.05为差异有统计学意义。
2
结 果
2.1 EFS
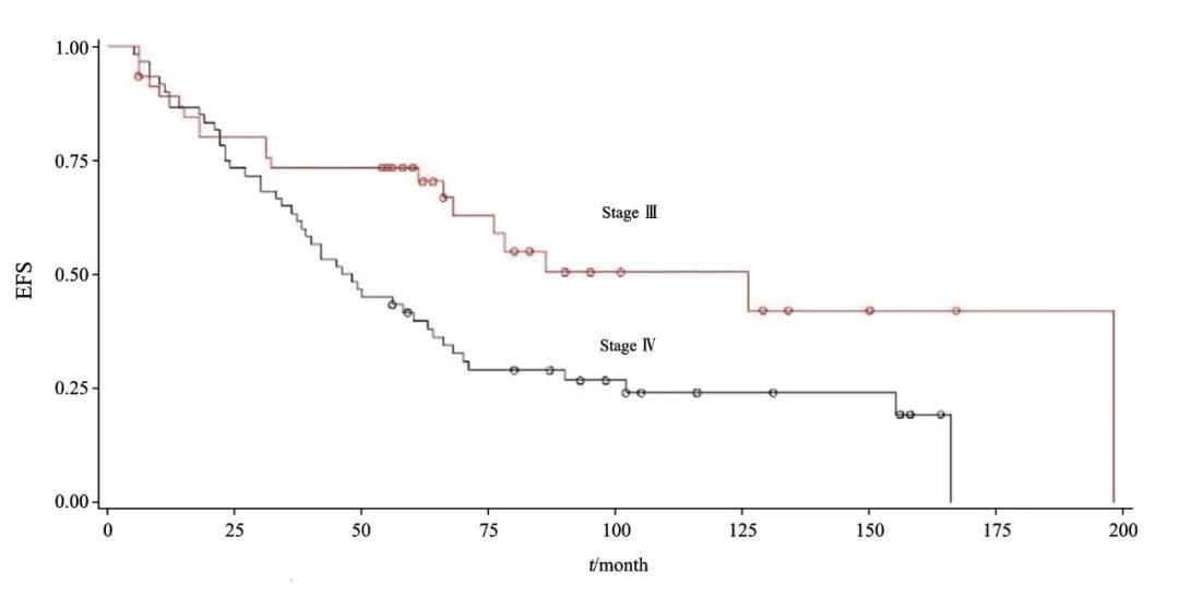
单因素生存分析结果显示,研究变量包括年龄(P>0.05)、性别(P>0.05)、肿瘤类型(P>0.05)及发病部位(P>0.05)差异均无统计学意义,而活检类型(P<0.000 1)、色素沉着史(P=0.03)、卫星灶(P=0.02)及肿瘤分期(P=0.006)差异均有统计学意义。进一步多因素生存分析显示,活检类型(P<0.000 1,HR=1.85,图2)及肿瘤分期(P=0.03,HR=1.83,图3)为孤立预后因素(表1)。

图 2 切取活检方式与EFS关系的生存曲线图
Fig. 2 The survival curve of the EFS by biopsy types

图 3 肿瘤分期与EFS关系的生存曲线图
Fig. 3 The survival curve of EFS TNM stages

2.2 OS
共有60例患者第1次复发是因出现口腔黑色病变来就诊,单因素生存分析结果显示,研究变量包括年龄(P>0.05)、性别(P>0.05)、活检类型(P>0.05)、肿瘤类型(P>0.05)、色素沉着史(P>0.05)及卫星灶(P>0.05)差异均无统计学意义,而治疗方式(P=0.02)及肿瘤分期(P=0.006)差异均有统计学意义(表2)。虽然在多因素分析中,肿瘤分期及治疗方式为非孤立预后因素,但积极处理(手术切除或冷冻治疗)口腔新发黑色病变有延长患者生存期的趋势。

2.3 口腔黑色病变多次复发
46例患者至少出现2次及以上的口腔黑色病变复发,其中21例患者反复出现口腔黑色病变复发(图4)。这21例患者中,黑色病变复发的间隔时间在8~20个月之间,复发次数最多达31次。其中有6例患者因采用手术扩大切除,平均每年进行1次全麻手术切除,严重影响生存质量。而采用冷冻治疗的15例患者,均为局麻手术,冷冻治疗后口内器官保留相对完整,生存质量较好,且两组患者OS差异无统计学意义(P>0.05)。

图 4 位于上牙龈的反复复发的口腔黑色病变
Fig. 4 Repeatedly recurrent oral pigmentation arises in the upper gum
3
讨 论
OMM是头颈部恶性程度较高的肿瘤之一,预后极差,即使是治疗效果好、生存期超过5年的患者依然饱受肿瘤复发或转移之苦,甚至有些病例在原发病例治疗10年后还出现口腔复发或远处转移,这给临床治疗带来了很大的挑战。本研究总结了上海交通大学医学院附属第九人民医院近10年收治的106例生存期超过5年的OMM患者,通过总结这些病例的性别、年龄、原发部位、色素沉着史、肿瘤类型、肿瘤大小、活检类型、卫星灶及TNM分期等临床特征,发现切取活检会影响患者的EFS。切取活检通常是诊断口腔恶性肿瘤的第一步,在其他口腔癌中并未发现会影响患者预后[10],但是日本学者Umeda等[11]研究发现,切取活检会导致OMM预后变差。本研究发现,如果是在准备好扩大切除的前提下,切取活检后送术中冰冻切片快速病理学检查并不会影响预后;而切取活检距离手术扩大切除超过2周确实会导致OMM预后变差。因此,我们建议在扩大切除术前行切取活检,并送术中冰冻切片快速病理学检查,不具备切除手术条件的医疗机构尽量不要做切取活检。
口腔新发黑色病变是复发的OMM患者最常见的临床表现。而很多健康人口内也确实存在类似的黑色病变,而且大多数是诸如黑板、外源性色素沉着等良性病变,因此,这会让临床医师颇感迷惑,莫非OMM患者口内新发的黑色病变也是良性的?但本研究发现,大部分OMM患者新发的口腔黑色病变都具有侵袭性,虽然还不足以作为黑色素瘤的病理学诊断。这些黑色病变可能在数月或数年内都保持稳定,但会突然加速生长并呈侵袭性,而此时再干预就为时过晚[12]。本研究对比了手术扩大切除与冷冻治疗这两种常见的治疗手段,发现两者在生存期方面无明显差异,在局部控制黑色病变方面也类似,但冷冻治疗具有操作简单、创伤小、费用低等,是处理这类口腔新发黑色病变的最佳手段。
反复复发也令很多OMM患者苦不堪言,如何减少这部分患者的复发频率是我们今后研究工作的重心。程序性死亡[蛋白]-1(programmed death-1,PD-1)、程序性死亡[蛋白]配体-1(programmed death ligand-1,PD-L1)等免疫检查点已成为肿瘤免疫治疗的突破性靶点,临床上也已经广泛用于难治性恶性黑色素瘤的治疗,并取得了不错的疗效[13-15],我们也在积极探索PD-1单抗是否能用于减少OMM复发。
综上所述,即使是预后良好的OMM患者依然面临着肿瘤复发的威胁,口腔新发黑色病变是OMM患者最常见的复发类型,其预后与肿瘤TNM分期、活检类型及复发后治疗方法相关。Ⅲ期与Ⅳ期患者比较,口腔出现新发黑色病变的概率更小,生存期更长;而不恰当的切取活检会导致预后变差;新发黑色病变大多数都具有侵袭性,积极治疗包括冷冻治疗或扩大切除术对这种新发黑色病变疗效显著。而冷冻治疗与手术扩大切除相比,虽然两者在生存期方面差异无统计学意义,但冷冻治疗操作简单、创伤小,所以尽早采用冷冻治疗处理这类新发黑色病变能提高患者的生存质量。