全面覆盖肺鳞癌与腺癌——免疫治疗快速起效,患者可获持久PR!
在2020年,替雷利珠单抗先后公布了一线鳞状NSCLC III期注册临床研究(RATIONALE 307研究)及一线非鳞状NSCLC III期注册临床研究(RATIONALE 304研究)取得阳性结果,并先后在刚过去的ASCO大会和即将召开的ESMO大会上进行报道,成为全球第二个全面获得一线鳞状及非鳞状NSCLC III期注册临床研究成功的PD-1抗体。肺鳞癌一线免疫联合化疗疗效如何?肺腺癌一线靶向治疗失败又该如何?本期将分享2例晚期鳞状、非鳞状NSCLC的病例。

王丽 教授
江苏省肿瘤医院
医学博士、主任医师
中国老年学和老年医学学会肿瘤康复分会委员
中国中药协会肿瘤药物研究专业委员会委员
江苏省老年学学会慢性病专业委员会副主任委员
江苏省研究型医院学会肺结节和肺癌MDT专业委员会委员
江苏省老年学学会肿瘤康复专业委员会委员
参与多项大型国际及国内多中心抗肿瘤新药临床试验
1
病例一:鳞状NSCLC
病例一基本情况
一般资料:患者男性,77岁。
主诉:诊为鳞状NSCLC 2月余,3周期化疗联合免疫治疗后20天。
现病史:患者于2020年1月无明显诱因下出现咳嗽伴少量咯血,就诊于我院。
既往史:高血压病30余年,自服药控制,血压控制一般;动脉粥样硬化合并腹主动脉及双侧髂总动脉狭窄支架植入术后;无其他特殊病史。
查体:神志清,精神可,心律齐,未闻及杂音。两肺呼吸音略粗,未闻及明显干湿罗音,腹软,无压痛,肝脾肋下未触及。双下肢不肿。
ECOG PS评分:1分。
实验室检测:血常规、肝功能、电解质正常,肌酐 153umol/L,尿素氮8.62mmol/L,尿酸 501umol/L。
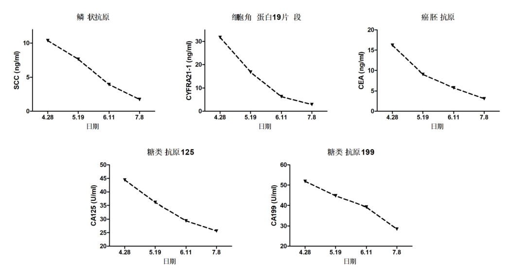
肿瘤标记物:鳞状抗原 10.37 ng/ml,细胞角蛋白19片段 31.75 ng/ml,癌胚抗原 16.21 ng/mL,糖类抗原125 44.42 U/mL,糖类抗原199 51.86 U/mL。
右肺穿刺活检:(右肺)分化差的非小细胞肺癌。免疫组化:TTF-1(-),p40(+++), ki-67 50%,CD5(-),CD117(-)。标记结果为鳞癌。
基因检测:肺11基因:无驱动基因突变;PD-L1检测结果未知。
头部+胸部+腹部增强CT:1、右中下肺占位伴周围组织阻塞性炎症,符合肺癌表现,最大径8.5 cm;2、右锁骨上、气管右旁、隆突下、双肺门多发肿大强化淋巴结。
诊断:1. 右肺鳞癌(T4N3M0,IIIC期),伴右锁骨上、气管右旁、隆突下、双肺门多发淋巴结转移。

病例一治疗经过
经患者充分知情同意并签署知情同意书后,予以免疫联合化疗方案“替雷利珠单抗200 mg + 白蛋白紫杉醇300 mg+卡铂300 mg,d1,q3w,ivgtt”治疗4周期,疗效达到PR。



病例一总结
本例患者为右肺鳞癌(T4N3M0,IIIC期),伴多发淋巴结转移。经替雷利珠单抗联合化疗治疗,2个周期后右肺病灶和多发淋巴结转移病灶直径均明显缩小,疗效评价达到PR。患者目前已联合用药4周期,疗效持续PR,PFS已超4个月,病情平稳,安全性良好。
2
病例二:非鳞状NSCLC
病例二基本情况
一般资料:患者女性,80岁。
主诉:刺激性干咳10余天,头晕7天。
现病史:患者于2014年4月因体检发现肺占位,于我院全麻下行胸腔镜下进胸探查术,术中见肿块位于右上叶外侧缘近中叶,约2.0*1.8cm,行楔形切除术。术后病理提示高分化腺癌,术后未行放化疗。2018年患者出现咳嗽及咳少量粘白痰。为求进一步诊治于我院就诊。
既往史:无其他特殊病史。
查体:神志清,精神可,心律齐,未闻及杂音。两肺呼吸音略粗,未闻及明显干湿罗音,腹软,无压痛,肝脾肋下未触及。双下肢不肿。
ECOG PS评分:1分。
实验室检查:血常规及血生化未见明显异常。
基因检测:EGFR、ALK、ROS-1野生型。
胸部CT(2018-04):1、右侧胸膜、叶间胸膜及右肺多发结节影,拟多发转移;2、右侧胸腔新见明显积液。
胸水脱落细胞检查:见恶性肿瘤细胞。
诊断:1. 右肺腺癌(TNM分期,IV期),右侧胸膜、叶间胸膜及右肺多发转移;2. 右侧胸腔积液。

病例二治疗经过
(1)一线靶向+化疗:SD→PD
经患者充分知情同意并签署知情同意书后,考虑予以靶向联合化疗治疗。于2018年4月至2018年7月行“贝伐珠单抗+培美曲塞+卡铂”治疗4周期,右侧胸膜、右肺结节较前趋退缩,胸腔积液较前减少改善。于2018年7月至2020年1月行“贝伐珠单抗+培美曲塞”维持治疗16周期,疗效评价SD。2020年3月复查胸部CT提示:右侧胸膜、叶间胸膜、右肺多发转移灶较前明显,疗效评价:PD。
疗效评价:PD。

(2)二线免疫+化疗:PR
经患者充分知情同意并签署知情同意书后,考虑予以免疫联合化疗治疗。于2020年4月3日、2020年5月6日行“替雷利珠单抗200 mg+多西他赛q3w”治疗2周期,右肺多发病灶较前明显退缩,右侧胸腔积液减少,疗效评价;PR。患者用药期间未出现严重不良反应,至今仍在治疗中。

病例二总结
本例患者为右肺腺癌(TNM分期,IV期),伴右侧胸膜、叶间胸膜及右肺多发转移,驱动基因阴性。一线予以靶向联合化疗,疗效维持在SD,维持治疗16周期后复查提示病情进展。二线考虑予以免疫联合化疗,予以患者替雷利珠单抗联合多西他赛治疗2周期后,疗效即达PR,不良反应可控,患者生活质量高,二线PFS已超过5个月,且正不断延长中。

史美祺 教授
江苏省肿瘤医院/江苏省肿瘤防治研究所
主任医师、教授、硕士生导师
中国医疗保健国际交流促进会肿瘤内科分会常务委员
中国临床肿瘤学会(CSCO)非小细胞肺癌专家委员会委员
中国抗癌协会肿瘤药物临床研究专业委员会委员
中国抗癌协会肺癌专业委员会内科学组成员
中国医疗保健国际交流促进会胸部肿瘤分会委员
江苏省抗癌协会肺癌专业委员会常务委员
江苏省康复医学会呼吸康复专业委员会常务委员
江苏省医学会肿瘤学分会肺癌学组副组长
江苏省医学会肿瘤化疗与生物治疗分会 肺癌学组成员
江苏省医学会呼吸病学分会肺癌学组成员
江苏省抗癌协会鼻咽癌专业委员会委员
南京医学会结核与呼吸系疾病专科分会委员
东西部肺癌协作组织(E-WEST LC)科学委员
国际肺癌协会会员,ASCO会员
非小细胞肺癌(NSCLC)分为鳞状NSCLC和非鳞状NSCLC,随着近年来越来越多的驱动基因被发现,NSCLC的治疗进入靶向治疗时代。但是,鳞状NSCLC治疗却因缺乏有效的驱动基因而止步不前[1]。据统计,2018年中国肺癌新增总人数为774323例[2],按照此前报告的30%鳞癌发生占比[3],可估算得出2018年我国鳞癌新增总人数约为23.23万例。患者人数众多,治疗手段有限,鳞状NSCLC仍是目前中国肺癌诊治中棘手的难题。
随着免疫治疗问世,最新国内外权威指南均推荐免疫联合化疗用于晚期鳞状NSCLC一线治疗,卡铂+紫杉醇/白蛋白紫杉醇是免疫联合化疗的标准方案之选[4-6]。KEYNOTE-407研究的成功是免疫治疗在一线肺鳞癌领域的一大进步[7],但因缺少中国入组人群,仍不能满足我国肺鳞癌患者一线使用免疫联合治疗的大样本III期研究数据。
值得庆贺的是,在今年的ASCO上,替雷利珠单抗公布了一项针对中国人群的大型III期RATIONALE 307研究[8],结果显示对比传统化疗方案,替雷利珠单抗联合紫杉醇/白蛋白紫杉醇+卡铂方案能够显著提升患者无进展生存时间(7.6个月 vs 5.5个月)、提高患者的客观缓解率(ORR)(72.5% / 74.8% vs 49.6%)、改善患者的持续缓解时间(DOR)(8.2 / 8.6个月 vs 4.2个月),体现出良好的有效性和安全性。
在此前的一项替雷利珠单抗联合化疗一线治疗肺癌多队列II期RATIONALE 206研究中[9],鳞癌治疗队列的ORR可达80%,DCR达到93.3%;而非鳞癌队列中ORR达到43.8%,DCR达到93.8%,且不论PD-L1表达水平均可获益,中位PFS达到9个月,18个月OS率高达74%,亦体现出良好的治疗前景。基于此,替雷利珠单抗联合化疗一线治疗晚期非鳞癌患者的III期Rationale-304研究也已获得统计学意义上PFS的显著提升,并即将公布具体研究数据。
替雷利珠单抗是目前唯一对对Fc段进行了特殊基因工程改造的PD-1单抗,可以避免Fc段与FcγR效应细胞的结合,最大限度地降低ADCP可能性,从而避免T细胞消耗,进而增强药物的抗肿瘤活性[10,11]。此外,替雷利珠单抗的Fab段具有独特的抗原结合表位,与靶点亲和力更强,解离速率较帕博利珠单抗和纳武单抗约放缓100倍和50倍,或可更彻底持久地阻断PD-1与PD-L1的结合,降低脱靶效应发生几率[12]。
无论是一线还是二线治疗,本期2例患者均在替雷利珠单抗联合化疗治疗2周期后即获得PR,且随访至今仍在持续获益,起效迅速,应答持久。尤其是病例二非鳞状NSCLC患者,一线靶向联合化疗治疗的疗效仅维持在SD,始终没有获得更深度的缓解,却在二线替雷利珠单抗联合化疗治疗2周期后即获得PR,显现出较强的抗肿瘤效应。替雷利珠单抗作为目前全球第二个、国内第一个全面获得一线鳞状及非鳞状NSCLC III期注册临床研究成功的PD-1抗体,或将全面造福我国晚期肺癌患者。相信未来替雷利珠单抗能够在各个癌肿领域全面突破,成为中国患者能够用得起的民族抗癌药,引领我国本土药业迈入国际市场,唱响中国之声!