提早预测各癌种复发和转移!CTC检测技术“雇佣”病毒来抗癌!
关键词:预防复发;CTC检测技术;黑色素瘤;乳腺癌
众所周知,早期发现是提高癌症治疗率的关键。世界卫生组织指出,只要早期发现,90%的癌症可以治愈。
那么到底有没有一种检测方法,既能使受检者免受痛苦,又能提高诊断的精确率?
为此,一款称为“肿瘤捕手”的新型检测技术便应运而生!
实际上,除了少数癌症外,绝大多数的恶性肿瘤均来源于上皮细胞,从肿瘤组织脱落的细胞进入外周血就成为循环肿瘤细胞(circulating tumor cell, CTC)。循环肿瘤细胞的特点是血液中含量极低,却逃不出‘肿瘤捕手’的眼睛。而基于液体活检的CTC检测技术核心,就在于病毒的基因改造,“雇佣”其为人类抗癌服务,堪称预测各癌种复发和转移的“利器”!
黑色素瘤:识别高复发风险,从辅助治疗中收益
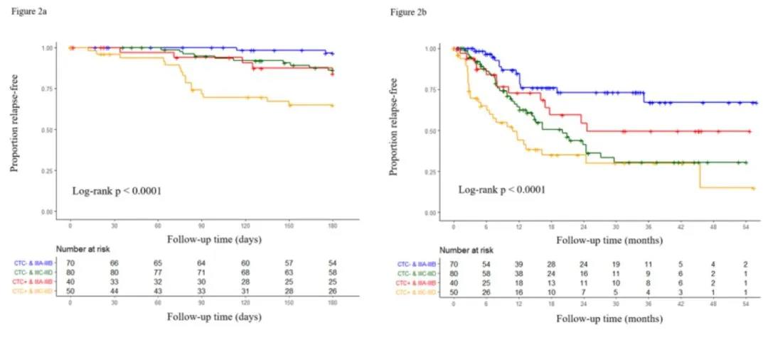
2020年4月15日,美国MD安德森癌症中心的医学研究者们在国际权威杂志《Clinical Cancer Research》上发表了一项最新研究,表明CTC与黑色素瘤复发孤立相关,CTC评估有助于识别高复发风险患者,进而使其从辅助治疗中受益。

在研究中医学研究者们找到在黑色素瘤细胞上表达量高、特异性好的标签分子,它们就是CD146与HMW-MAA。
CD146又称为黑色素瘤细胞黏附分子(MEL-CAM)或细胞表面糖蛋白(MUC18),是血管壁中普遍存在的基质分子,CD146首次鉴定为肿瘤标志物就是因为在黑色素瘤中的高表达,这种高表达特性使得CD146是黑色素瘤CTC的有力抓手。
HMW-MAA(高分子量黑色素瘤相关抗原)是一种特征性的黑色素瘤表面抗原, 在正常组织很少表达,是作为特异性鉴别黑色素瘤细胞的良好标志物。
同时利用上述两种检测标志的CellSearch循环黑色素瘤细胞分析技术就出现了,值得注意的是,使用CD146抗体作为抓手时,会将无辜的血管内皮细胞一起抓过来,为了精确地减少干扰,使用CD34作为阴性标记物也是必不可少的。
研究人员利用此项技术对243例首次就诊的皮肤黑色素瘤患者进行了CTC评估计数。根据AJCC第八版分期规则,其中45例患者(19%)为IIIA期,67例(28%)为IIIB期,118例(49%)为IIIC期,13例(5%)为IIID期。
在这些患者中,有90例(37%)患者在7.5 ml血液中检测出了≥1个CTC,41例(17%)有≥2个CTC,12例(5%)有≥3个CTC。经过统计分析,研究人员发现CTC计数与原发肿瘤特征和分期均无关。

研究结果表明,CTC评估是6个月和54个月内RFS降低的孤立预测因子,检测到≥1个CTC的IIIA-B期和IIIC-D患者比未检测到CTC的IIIA-B期患者有更高的复发概率。这表明,作为癌症转移的种子,CTC数值与黑色素瘤的复发关系密切!
通俗点讲就是,首次就诊时进行CTC评估可能有助于确定高复发风险的III期黑色素瘤患者,进而使其接受严格的影像学监测或全身辅助治疗以降低或消灭复发风险,同时也能够避免低复发风险的患者被过度治疗。
CTC作为新型的生物标志物,为黑色素瘤患者提供了超出标准临床病理因素的重要预后信息,是对现有临床分期指南的极有力补充。
乳腺癌:哪种类型容易复发转移?CTC中见分晓!
2020年3月27日,来自哈佛医学院、麻省总医院癌症中心的科学家们在著名学术期刊《Science》上发表了重要发现。研究人员找到了与转移直接相关的CTC细胞类型与分子标签,并尝试了新的联合用药方案,能显著抑制、甚至阻止乳腺癌转移的发生。

研究结果表明,乳腺癌转移原来与核糖体的几种RPL蛋白相关。通过在CTC中对这些蛋白异位表达并在小鼠体内进行实验验证,研究人员发现并不是所有RPs都会促转移,RPL15是乳腺癌CTC体内转移潜能的有力正调节因子,也就是说RPL15表达高的乳腺癌CTC具有更强的转移能力。同时,RPL15的过表达也会增加多个器官的转移性生长,并选择性增强了其他核糖体蛋白和细胞周期调节因子的翻译。

最终通过与临床数据的进一步对比,PR基因高表达的患者,总生存期更短。

随后研究人员从这些侵袭性细胞特征入手,采用细胞翻译机制和细胞增殖途径的联合阻断,希望可以抑制乳腺癌的转移。
结果不负众望,体外和小鼠体内实验都证实omacetaxine-palbociclib联用可以显著抑制RP基因高表达CTC的侵袭性,抑制甚至阻止乳腺癌的远端转移。其中omacetaxine是美国FDA批准的翻译抑制剂,palbociclib可以抑制细胞周期进程,是一款获得美国FDA和中国NMPA批准,用于治疗HR+的局部晚期或转移性乳腺癌的新型靶向药。
此项研究通过创新性的CRISPRa筛选,找出了侵袭性CTC的分子标签是核糖体相关基因,并进一步对CTC精确分型,发现核糖体相关基因高表达+上皮型标志物高表达的CTC是HR+乳腺癌转移的罪魁祸首。通过细胞特征反向探寻抑制转移新疗法,创新采用抑制核糖体蛋白合成+抑制细胞增殖双靶向联合用药,降低远端转移的发生,为乳腺癌患者带来福音!
小编有话说
无癌家园的专家建议,无论是癌症患者还是非癌症患者,特别是癌症高危人群,都可以进行CTC检测。对于高危人群早癌发现有积极作用,可以早期及时治疗。另外,研究表明,连续的CTC监测,配合CT、PET-CT等影像学方法,可以为癌症提供更准确的预后评估,帮助医生制定更加详细有效的治疗方案。关于CTC检测技术小编也将持续关注此方面的最新研究,日后会和各位癌友们继续分享!
参考文献
1.https://clincancerres.aacrjournals.org/content/early/2020/02/01/1078-0432.CCR-19-2670
2.https://www.cell.com/cancer-cell/pdf/S1535-6108(20)30152-5.pdf