艾立布林真实世界启示 晚期乳腺癌的破冰征程
编者按:
在晚期乳腺癌治疗领域中能有OS获益的化药屈指可数,在蒽环/紫杉后几乎鲜有化药能给患者带来OS的获益。而艾立布林的出现,正在打破着冰封已久的化疗格局,为晚期乳腺癌患者延续生命之美。EMBRACE研究证实,艾立布林OS获益的优效。Study-301研究提示,相较于卡培他滨,艾立布林可显著延长TNBC患者的中位OS达5个月。在真实世界中艾立布林疗效如何?且让辽宁省肿瘤医院孙涛教授带我们走进艾立布林晚期乳腺癌治疗中的破冰征程。
浅谈艾立布林作用机制,为晚期乳腺癌患者带来OS获益
艾立布林作为蒽环/紫杉后晚期乳腺癌患者重要的化疗标准,是继蒽环/紫杉后第一个单药治疗晚期乳腺癌患者获得总生存(OS)改善的化疗药物。正因如此,在 2020年NCCN指南Blocks版中,进一步将艾立布林的疗效与紫杉类和蒽环类评为4级,而其他类化疗药为3级。艾立布林作为一种新型的微管抑制剂,以其独特的作用机制给患者带来OS获益。艾立布林通过诱导血管重塑,改善肿瘤血液灌注,提升后续序贯抗肿瘤药物活性,从而延长患者OS。同时,艾立布林还可通过逆转肿瘤细胞从上皮型向间质型转化,延缓新发转移病灶的发生,从而延长患者OS。
初露锋芒,III期研究证实艾立布林OS获益
艾立布林的上市研究EMBRACE(Study 305)研究首次提出了TPC(医生选择的治疗方案)的概念,改变了乳腺癌相关临床试验的设计方法。
该研究共纳入762例接受过多线治疗的转移性乳腺癌患者,主要终点是意向治疗人群的总生存。结果显示,艾立布林与TPC相比,可显著改善晚期乳腺癌患者OS达 2.5个月(13.1 vs 10.6个月,HR=0.81,95% CI:0.66~0.99;P=0.041)。
点亮曙光,艾立布林在TNBC中疗效更优
Study-301研究对经蒽环和紫杉治疗后的晚期患者的疗效进行探索,该研究共入组1102例局部进展或转移性乳腺癌、至少经过蒽环及紫杉烷治疗(晚期为≤2线化疗)的乳腺癌患者,结果显示,两组患者的中位OS分别为15.9个月和14.5个月(HR=0.88;95% CI:0.77~1.00;P=0.056)。在整体人群中的优势在HER2人群中进一步放大,艾立布林对比卡培他滨,OS提升达2.4个月。值得重点关注的是,在例数较多的TNBC人群中,艾立布林表现出了显著性的获益,较卡培他滨组,艾立布林可显著延长OS达5个月,死亡风险降低29.8%。该研究结果提示,在治疗线数提前的情况下,mTNBC患者能从艾立布林组中获得5个月的OS获益,这对于原本缺乏有效治疗手段的mTNBC无疑是一重大突破。

多个国家多项真实世界研究证明艾立布林在mTNBC中取得OS突破
此外,研究者还发起了艾立布林的真实世界研究,多项真实世界研究结果显示,应用艾立布林的患者OS获益显著。
2019年,《国际癌症杂志》在线发表了一项来自法国的真实世界大样本研究,共对16703例患者结局进行回顾分析,这些患者至少因转移性疾病接受过两线化疗,对比艾立布林和其他化疗方案在二线、三线和四线的疗效。
结果显示,HER2-晚期乳腺癌患者中二线或以上接受艾立布林化疗的PFS和OS显著改善。
由HER2-到TNBC,艾立布林为mTNBC患者点亮生命曙光
HER2-患者中TNBC患者的治疗是当下临床关注的热点,由于mTNBC患者在药物干预下始终无法得到有效的OS获益,患者预后在所有乳腺亚型中最差,众多药物的Ⅲ期研究也仅能取得短期疗效获益。故近年来,ASCO提出将OS作为mTNBC患者唯一的主要临床研究终点的理念,临床上迫切需要一个能给mTNBC患者带来OS获益的治疗方案。那么从301研究5个月OS的获益启示,我们来看看艾立布林在mTNBC人群中真实世界证据的突破。
美国第一个基于社区的mTNBC患者预后的大型真实世界研究揭晓。该研究分析了2011年1月1日至2014年1月1日期间开始使用艾立布林的252例mTNBC患者的电子病例。其中,125例(49.6%)患者早期使用(EU组,一线/二线)和127例(50.4%)晚期使用(LU组,三线或更晚)。所有患者最常见的转移部位为:骨(59.9%)、肺(50.4%)、淋巴结(44.8%)和肝脏(43.7%),其中LU组患者较常见(76.4% vs 60.8%,P= 0.008)。
对226例患者(89.6%)进行生存分析的结果显示,对于EU组患者,从艾立布林治疗开始的中位OS为23.0个月(95%CI:18.7~27.3);对于LU组患者,从艾立布林治疗开始的中位OS为14.7个月(95%CI:12.6~16.9)。在真实世界中,用艾立布林治疗的mTNBC中,患者具有更多的其他部位转移性疾病,并且接触了更多的治疗。研究证实,三线或更晚患者中位OS仍能达到14.7个月,并且长于EMBRACE和Study-301研究中分别报告的13.1个月和14.4个月。此外,一线或二线使用艾立布林可以使患者的中位OS长达23.0个月,可以得出对于mTNBC患者来说,越早应用艾立布林患者总生存更长,获益更久。

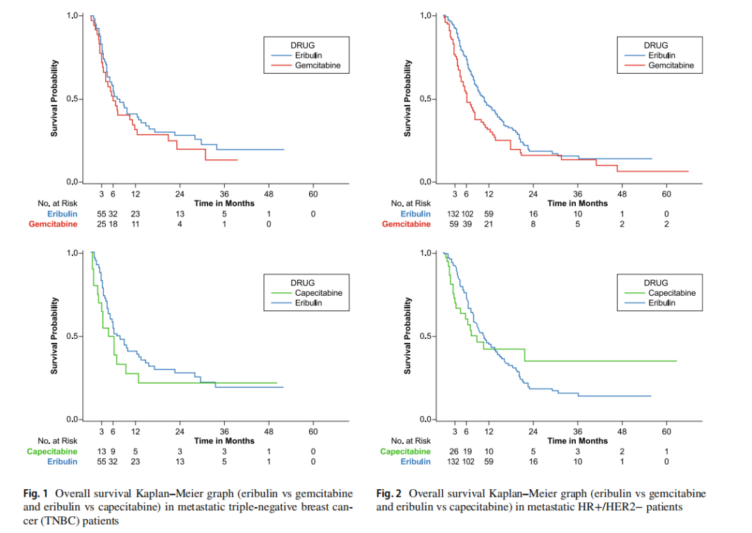
近日,《Breast Cancer Research and Treatment》在线发表了艾立布林单药治疗乳腺癌的回顾性研究,研究入组2012年1月1日~2018年10月13日接受艾立布林、吉西他滨或卡培他滨三线化疗的443例晚期乳腺癌肝或肺转移患者,回顾分析电子病历,通过生存曲线,对6、12、24、36个月时的生存患者比例进行比较,并对TNBC、激素受体阳性HER2-乳腺癌、HER2阳性乳腺癌患者不同治疗方式的总生存比例进行比较。
结果显示,在总人群中,三组患者中位OS分别为9.8个月、7.2个月、9.1个月,艾立布林组疗效最佳。亚组分析显示, HR+/HER2-亚型中,接受艾立布林治疗的患者中位OS获益更多,在TNBC亚型中,与吉西他滨或卡培他滨相比,接受艾立布林治疗的患者中位OS更长(三组患者中位OS分别为:7.0个月、6.0个月、5.5个月)。
该结果提示,对于晚期乳腺癌肺或肝转移患者,尤其对于TNBC、HR+/HER2-乳腺癌患者,相较吉西他滨/卡培他滨,艾立布林疗效更好。

尾记:
对于晚期乳腺癌患者来说,提高患者总生存、改善生活质量是最主要的治疗目标,对于mTNBC更是如此。艾立布林正是通过其独特的作用机制并借助一项项研究让我们看到了其改善mTNBC患者OS的优效,从既往的Study-305、Study-301研究,到如今在多国进行的真实世界研究,艾立布林正凭借着其显著提高患者OS、改善生活质量的两套组合拳打破着既往的晚期乳腺癌化疗格局。