安罗替尼9项肺癌研究震撼发布 即将领衔开展质与量较量
2020年9月19日至9月21日,久负盛名且具全球影响力的ESMO年会即将拉开帷幕。令人振奋的是,我国自主创新药物安罗替尼继2020ASCO年会大放异彩后,再现硬核实力,共计18项研究(包括2项mini oral及16项e-poster)成功入选2020ESMO,研究覆盖非小细胞肺癌、小细胞肺癌、尤文肉瘤、甲状腺癌、鼻咽癌、结直肠癌、食管鳞癌、肝细胞癌、卵巢癌和宫颈癌10大领域,届时将在权威舞台闪耀中国智慧,与世界分享原研成就。
作为《CSCO 非小细胞肺癌诊疗指南2020版》及《CSCO小细胞肺癌诊疗指南2020版》双指南推荐用药,安罗替尼在三线治疗中的安全性及有效性已得到医学界的广泛认可,但研究者对于其在肺癌领域的适应症拓展研究却从未止步。在本次ESMO大会中,共计9项安罗替尼单药或联合治疗应用于肺癌及实体瘤患者的研究成果成功入选。以下为整理研究精粹,以飨读者。
1 安罗替尼联合TQ-B2450治疗晚期实体瘤患者的1b期研究
入选形式:mini oral(532MO)
第一作者:吉林省肿瘤医院 程颖
通讯作者:吉林省肿瘤医院 程颖
本研究共纳入22例经标准治疗失败或已无标准治疗的晚期或转移性实体瘤患者,肿瘤类型分别为:非小细胞肺癌(8例)、小细胞肺癌(6例)、结肠癌(2例)、乳腺癌(2例)、卵巢癌(2例)、胸腺癌(1例)及宫颈癌(1例)。研究首先通过剂量爬坡试验确定安罗替尼联合TQB2450(PD-L1抑制剂)的推荐用药剂量,最终16例符合条件的患者被纳入剂量扩增阶段,并接受12 mg安罗替尼联合1200 mg TQB2450治疗。结果显示,7例患者PR,11例患者SD,4例患者PD,整体ORR为31.8%,DCR为81.8%。在晚期实体瘤患者的治疗中,安罗替尼联合TQ-B2450方案表现出了安全性尚可和疗效可期的特点。

图1 研究设计及基线特征

图2 疗效评估结果
2 安罗替尼联合埃克替尼为EGFR突变阳性伴有共突变晚期NSCLC患者提供了潜在的一线治疗方案:ALTER-L004研究探索性分析
入选形式:壁报(No.1432P)
第一作者:天津医科大学总医院 钟殿胜
通讯作者:天津市肿瘤医院 黄鼎智

本研究共纳入40例EGFR突变阳性的局部晚期和/或转移性IIIB、IIIC或IV期非鳞状非小细胞肺癌患者,纳入标准为未接受过前期治疗。给予患者安罗替尼(第1天到第14天12 mg口服,qd,21天为1周期)联合埃克替尼(125 mg口服,tid)治疗,其中34例患者至少接受过1次疗效评估。研究结果显示,34例患者中,1例患者CR,23例患者PR,9例患者SD,1例患者疾病进展,ORR为70.6%,DCR为97.1%;对于伴有共突变或致病性共突变的患者,ORR超过80%,DCR超过100%,而获得肿瘤早期退缩的人数大于65%。目前,6例伴共突变患者的PFS已达10个月,且仍在接受治疗。安罗替尼联合埃克替尼方案在未经治疗的EGFR突变阳性的晚期NSCLC患者中表现出了令人鼓舞的疗效,并为伴有共突变的晚期NSCLC患者提供了潜在的一线治疗方案。

图1 可评估疗效患者的靶病灶最佳变化

图2 可评估疗效患者的肿瘤缓解情况
3 安罗替尼联合全脑放疗(WBRT)治疗非小细胞肺癌多发脑转移的II期临床研究
入选形式:壁报(No.1386P)
第一作者:江苏省肿瘤医院 朱向帜
通讯作者:江苏省肿瘤医院 朱向帜

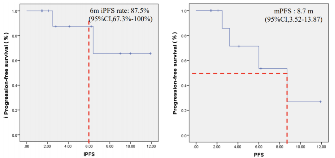
本研究共纳入20例晚期非小细胞肺癌伴多发脑转移的患者,予安罗替尼(第1天到第14天12 mg,qd,21天为1周期)联合WBRT(DT 30Gy / 12次)治疗,其中10例患者可进行疗效评估。结果表明,6例患者PR,3例SD,1例PD,ORR达60%,DCR为90%,中位颅内PFS(iPFS)未达到,6个月iPFS率为87.5%,颅外中位PFS为8.7个月,其中2例患者发生3级不良事件(分别是高血压和手足综合征),治疗期间所有患者均未发生颅内出血事件。安罗替尼联合WBRT治疗方案疗效显著且不良反应可控,并为非小细胞肺癌多发脑转移的患者提供了一个极具前景的治疗选择。

图1 研究设计

图2 iPFS(左)和颅外PFS(右)
4 安罗替尼联合多西他赛用于先前治疗过的晚期非小细胞肺癌患者:一项II期,单臂研究
入选形式:壁报(No. 1376P)
第一作者:杭州市第一人民医院 陈雪琴
通讯作者:杭州市第一人民医院 马胜林

本研究共纳入25例先前治疗过的晚期非小细胞肺癌患者,予安罗替尼(12 mg口服,qd,每2周停用1周)联合多西他赛(60 mg/m2)治疗,其中20例患者可进行疗效评估。结果表明,7例患者PR,12例SD,1例PD,ORR为35%,DCR为95%,中位PFS为4.5个月,中位OS未达到。无论患者组织学分型如何,安罗替尼联合多西他赛在先前治疗过的晚期非小细胞肺癌患者中均展现出了更好的活性及耐受性。

图 RECIST评分标准的靶病灶最佳变化
表 疗效评估

5 安罗替尼治疗三线及以上小细胞肺癌伴肝转移患者疗效:一项随机双盲的II期研究(ALTER1202)的亚组分析
入选形式:壁报(No.1791P)
第一作者:吉林省肿瘤医院 程颖
通讯作者:吉林省肿瘤医院 程颖

ALTER 1202是一项随机、双盲的II期临床试验,纳入对象为至少接受过两种系统性化疗方案治疗后进展的小细胞肺癌患者,主要研究终点为PFS。将符合标准的患者按2:1的比例随机分为两组,分别接受安罗替尼或安慰剂治疗,此次公布的亚组分析评估了安罗替尼治疗三线及以上小细胞肺癌基线伴肝转移患者的疗效。结果表明,与安慰剂组(n=15)相比,安罗替尼组(n=27)的中位PFS显著提高(1.84个月对0.71个月,P=0.0037);安罗替尼组的中位OS为3.29个月,安慰剂组的中位OS为1.91个月,二者无统计学意义(P=0.1042)。安罗替尼治疗三线及以上小细胞肺癌伴肝转移患者耐受性良好且可显著延长患者的PFS。

图1 研究设计

图2 PFS

图3 OS
6 安罗替尼治疗三线及以上小细胞肺癌伴胸膜转移/胸腔积液患者疗效:一项随机双盲的II期研究(ALTER1202)的亚组分析
入选形式:壁报(No. 1787P)
第一作者:吉林省肿瘤医院 柳影
通讯作者:吉林省肿瘤医院 程颖

ALTER 1202是一项随机、双盲的II期临床试验,纳入对象为至少接受过两种系统性化疗方案治疗后进展的小细胞肺癌患者,主要研究终点为PFS。将符合标准的患者按2:1的比例随机分为两组,分别接受安罗替尼或安慰剂治疗,此次公布的亚组分析评估了安罗替尼治疗三线及以上小细胞肺癌基线伴胸膜转移/胸腔积液患者的疗效。结果表明,与安慰剂组(n=15)相比,安罗替尼组(n=27)的中位PFS显著提高(2.83个月对0.67个月,P<0.00001);安罗替尼组的中位OS为6.51个月,安慰剂组的中位OS为2.76个月,二者无统计学意义(P=0.1285)。安罗替尼治疗治疗三线及以上小细胞肺癌伴胸膜转移/胸腔积液患者耐受性良好且可显著延长患者的PFS。

图1 研究设计

图2 PFS

图3 OS
7 安罗替尼联合依托泊苷作为广泛期小细胞肺癌维持治疗的疗效及安全性:一项单臂,前瞻性,II期研究
入选形式:壁报(No. 1795P)
第一作者:江苏省肿瘤医院 沈波
通讯作者:江苏省肿瘤医院 冯继锋

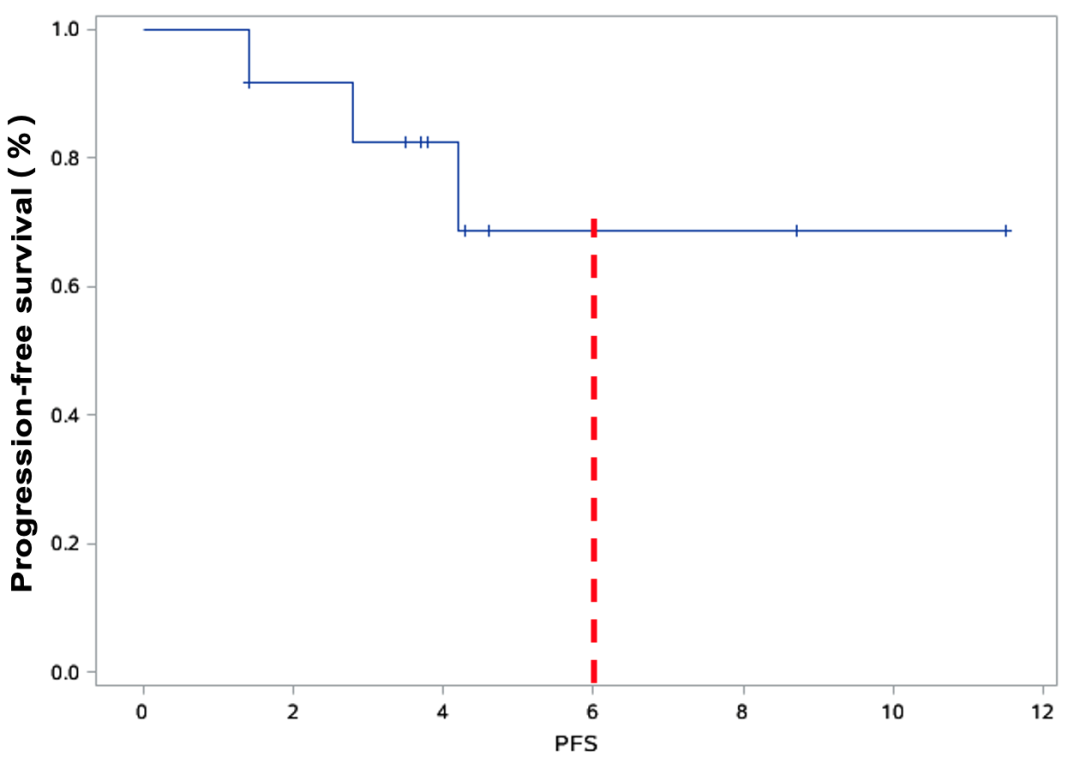
本研究共纳入12例EP方案化疗后未进展的广泛期小细胞肺癌患者,予安罗替尼(12 mg,qd,第1天到第14天,Q3W)联合依托泊苷(50 mg,qd,第1天到第14天,21天为1周期,共6期)治疗。结果表明,4例患者PR,7例SD,1例PD,ORR为33.3%,DCR为91.6%,中位PFS未达到,6个月PFS率为68.8%。未发生3级及以上的不良反应。安罗替尼联合依托泊苷在EP方案标准一线治疗后未进展的广泛期小细胞肺癌的维持治疗中,初步显示出良好的疗效且安全性良好。

图1 研究设计

图2 PFS
表1 疗效评估

8 盐酸安罗替尼联合依托泊苷和铂类方案治疗广泛期小细胞肺癌的安全性和有效性研究
入选形式:壁报(No. 1801P)
第一作者:复旦大学附属肿瘤医院 刘畅
通讯作者:复旦大学附属肿瘤医院 王佳蕾

本研究为一项前瞻性、单臂、单中心Ⅱ期临床研究,共纳入30例初治广泛期小细胞肺癌患者,予安罗替尼(第1天到第14天12 mg口服,qd,21天为1周期)联合依托泊苷和铂类方案治疗4周期,并继续应用安罗替尼维持治疗,其中23例患者可进行疗效评估。结果表明,23例患者PR,ORR和DCR均为100%。截至2020年4月30日,12例患者疾病进展,中位PFS预计为6.3个月(95%CI为5.0~7.7)。初步结果显示,安罗替尼联合依托泊苷和铂类方案治疗广泛期小细胞肺癌是有效且患者可较好耐受的。

图1 PFS预估值
表1 疗效评估

9 安罗替尼联合EP/EC方案一线治疗广泛期小细胞肺癌的有效性及安全性:一项单臂、II期研究
入选形式:壁报(No. 1797P)
第一作者:河南大学附属肿瘤医院 孔天东
通讯作者:河南大学附属肿瘤医院 孔天东

本研究共纳入15例既往未接受系统化疗或免疫治疗的广泛期小细胞肺癌患者,予安罗替尼(第1天到第14天12 mg口服)+依托泊苷(100 mg/m2,第1天到第3天,21天为1周期)+顺铂(75 mg/m2,Q3W)/卡铂(AUG=4~5,Q3W)方案治疗4~6周期,其中本研究中心共纳入15例患者。结果表明,1例患者CR,1例PR,1例SD,中位PFS为9.0个月(95%CI为4.1~13.9),ORR为80%,DCR为100%。盐酸安罗替尼联合EP/EC方案在一线治疗广泛期小细胞肺癌时,获得了良好的PFS、ORR和DCR,同时不良反应可控。未来将会进行随机、对照、Ⅲ期临床研究来证实这一点。

图1 安罗替尼联合EP/EC方案一线治疗ES-SCLC患者的PFS图
安罗替尼已在肺癌、肝癌、卵巢癌和食管癌等多癌种中展示出明确的抗肿瘤活性,同时获得了值得肯定的研究成果。作为中国临床肿瘤学会(CSCO)2020版肺癌领域双指南推荐用药,安罗替尼在肺癌三线治疗中站稳脚跟的情况下仍未止步,取己之长,强强联合,在治疗前线展开积极探索,以期延长晚期肺癌患者生存期,并全面改善患者生活质量,从而为患者达到带瘤生存甚至无瘤生存的状态助力。
关于安罗替尼:
作为正大天晴药业集团自主研发的新型小分子多靶点酪氨酸激酶抑制剂,安罗替尼能够强效抑制VEGFR、PDGFR、FGFR及c-Kit等多个血管生成相关激酶及肿瘤生长相关激酶的活性从而达到抑制肿瘤血管生成及肿瘤细胞生长的作用。
自问世至今,安罗替尼在肺癌、软组织肉瘤、肾细胞癌和食管鳞癌等多个瘤种进行了积极探索,在多个瘤种的临床研究多次问鼎ASCO、WCLC、ESMO、ASCO-GI等国际权威会议,已发表口头报告、壁报展示及SCI文章多篇,其中非小细胞肺癌ALTER0303临床研究更是问鼎世界顶级杂志JAMA Oncology。