胰腺癌中肿瘤相关巨噬细胞的预后价值:荟萃分析

一、研究背景
由于胰腺导管腺癌(PDAC)具有侵袭性和转移性特点,是最恶性的肿瘤之一,早期诊断的困难使病情容易恶化。因此,有必要确定更有效的预后指标。肿瘤相关巨噬细胞现在被认为是许多实体瘤的预后指标。一些研究证实TAMS的高表达与胃癌、卵巢癌、和非小细胞肺癌预后不良有关。但在侵袭性结肠癌前的TAMS密度增加与预后良好相关。然而,胰腺癌患者预后的相关巨噬细胞在以往的研究中仍存在争议。更重要的是,每个研究中肿瘤相关巨噬细胞的生物标志物并不相同,患者的样本数量也存在差异。为了解决这些问题,研究者们进行了荟萃分析,以评估TAMS密度与胰腺癌预后之间的潜在关联。
二、研究内容
Part1 M2-TAMS与胰腺癌生存的关系
如图所示,与低/负M2-TAMs浸润的患者相比,高M2-TAMs浸润的患者OS显著降低。

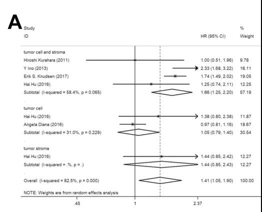
此外,根据不同样本分布的M2-TAMs进行的亚组分析也表明,M2-TAMs的高浸润性与胰腺癌患者更糟的OS显著相关,如图a,胰腺癌患者的肿瘤细胞和基质中检测到生物标记物、肿瘤基质、肿瘤细胞。在患者数量大于或等于100的研究中,合并HR证明M2 TAMS与胰腺癌患者的OS相关(图c)。为了进一步寻找异质性的来源,研究者们还根据研究质量进行了亚组分析。如图d所示,合并HR表明,M2-TAMs与胰腺癌患者中得分为7的OS恶化以及得分为8的胰腺癌患者相关。相反,在评分为6分的胰腺癌患者中,M2 TAMS与更糟的OS之间存在显著相关性(图d)

Part2 CD68+TAMS与预后的关系
为了进一步研究CD68+TAMS对OS的预后作用,合并HRS显示CD68+TAMS与胰腺癌患者更糟的OS相关。研究者们根据不同样本分布的CD68+TAMS进行了亚组分析。结果表明,在肿瘤细胞中检测到CD68+的胰腺癌患者中,CD68+TAMS与OS之间没有显著相关性。当谈及CD68+TAMS和OS在胰腺癌患者中的相关性时,也发现了同样的结果,这些患者的CD68+在肿瘤基质中被发现。相反,在胰腺癌患者中,在肿瘤细胞和间质中检测到CD68+的患者,合并的HRS显示CD68+TAMS与更糟的OS相关。

Part3 CD163+TAMS对胰腺癌患者预后的意义
至于CD163+TAMS对OS的预后价值,8项CD163+密度升高的研究的汇总结果与OS恶化显著相关,并呈现出显著的异质性。针对存在的大量异质性,基于不同样本分布的CD163+TAMS,研究者们进行了亚组分析。合并HRS显示,肿瘤细胞或肿瘤基质中的CD163+TAMS与胰腺癌患者更糟的OS相关。对于胰腺癌患者中肿瘤细胞和间质的OS,CD163+TAMS高浸润也有显著相关性。

Part4 CD204+TAMS对生存结果的影响
为了进一步阐明CD204+TAMS浸润对生存结果的作用,研究者们研究了CD204+TAMS密度与胰腺癌患者OS的相关性。八项研究的汇总结果显示,CD204+密度升高与OS恶化显著相关,并呈现出明显的异质性。根据不同样本分布的CD204+TAMS进行亚组分析,寻找实质性异质性的来源。合并HRS显示,CD204+TAMS与胰腺癌患者中检测到CD204+的肿瘤细胞的更糟的OS没有相关性。对于在肿瘤细胞和间质中发现CD204+的胰腺癌患者,其OS与高CD163+TAMS浸润有显著相关性。对于在肿瘤基质中发现CD204+的胰腺癌患者的OS,也与高CD204+TAMS浸润显著相关。

三、总结与思考
这是首次有意义的荟萃分析,揭示了TAMS在胰腺癌中的预后价值。该研究也告诉我们一些重要的信息。
首先,尽管研究表明高CD206+TAMS密度与较好的无复发生存率相关,但确信高密度M2-TAMs与胰腺癌患者的不良预后相关。因此,我们可以假设M2-TAMs可以为我们提供一个潜在的治疗目标。高密度CD68+TAMS也可以预测胰腺癌患者的预后。由于存在显著的异质性,CD68+TAMS的预后作用仍存在争议。
其次,得出结论:无论在整个样本区(或未指定)、肿瘤基质或肿瘤细胞中发现CD163+和CD204+,胰腺癌患者M2-TAMS密度升高与OS之间存在显著的相关性。
最后,根据TAMS的功能,所有高密度TAMS患者的总生存率似乎比低密度TAMS患者的临床病理特征更差,尽管没有显著差异。在该荟萃分析中,汇总分析显示,TAMS浸润升高与淋巴结转移、肿瘤分期、组织学分级、性别或肿瘤位置无关。当然,该研究显示的临床病理因素有限,可供参考的研究不足,仍需进一步研究更大的样本量和更详细的信息来验证结论。