新桥医院血液病医学中心牵头研究登陆Leukemia 展示同种异体CAR-T治疗B-ALL移植后复发的最新结果
目前,异基因造血干细胞移植后复发的急性淋巴细胞白血病(ALL)患者的治疗手段主要是供者淋巴细胞输注(DLI)及二次移植,但这些手段的效果并不令人满意。CD19的CAR-T细胞疗法对复发难治B细胞ALL(B-ALL)的疗效尤为显著。10月19日,新桥医院血液病医学中心张曦教授、张诚教授团队携手中国医学科学院血液学研究所血液病医院韩明哲教授团队等国内共9家单位联合在国际血液权威杂志Leukemia报道了43例移植后复发的B-ALL患者接受供者CD19 CAR-T细胞治疗的最新研究成果。

9家单位包括中国医学科学院血液学研究所血液病医院韩明哲、张荣莉,西部战区总医院刘芳、范方毅,陕西省人民医院王一、高瑛、张玎,徐州医科大学附属医院李振宇、闫志凌、曹江,河南肿瘤医院宋永平、高全立,福建医科大学附属协和医院杨婷、任金华,同济大学附属同济医院梁爱斌,李萍和河南省人民医院陈玉清、王臻。
研究方法
从2015年7月至2019年3月,43例CD19阳性B-ALL受试者接受了同种异体移植,骨髓复发,并接受了供体来源的抗CD19 CAR-T细胞。主要纳入标准包括:(1)东方肿瘤合作组织体能状态评分(ECOG)≤2;(2)估计生存期>3个月;(3)既往无急性移植物抗宿主病;以及(4)拒绝接受第二次同种异体移植。
纳入的43例患者中MRD阳性13例,全面复发30例,给予供者(全相合供者17例,半相合供者26例)来源CD19 CAR-T细胞治疗,输注剂量1.76×106/kg(0.4-12×106/kg)。

图1 供者来源的CD19细胞的制备方法
研究结果
43例患者中位年龄为24岁(范围4~60岁)。从复发到CAR-T细胞输注的中位时间间隔为42天(35~59天)。
主要的疗效数据
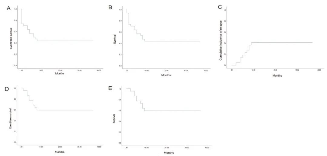
41例患者存活≥21天,可评估疗效。34例患者获得完全缓解(CR 79%; 95% CI: 66, 92%);1年无病生存率(EFS)及生存率(Survival)为43% (95% CI: 25, 62%);达到完全缓解并且没有接受二次移植的32例患者中,1年的复发率为41%(25,62%),1年EFS和生存率为59%(95% CI: 37, 81%)。

图2 移植后复发B-ALL患者接受CD19供体来源的CAR-T细胞治疗后的生存情况
主要的安全性数据
所有患者血红蛋白、白细胞、中性粒细胞、淋巴细胞和血小板浓度均下降。1例患者活化部分凝血活酶时间延长。2例患者者的碱性磷酸酶、丙氨酸转氨酶、天冬氨酸转氨酶和乳酸脱氢酶水平升高。
38例患者发生了任意级别的细胞因子风暴(CRS)(88%, 95% CI: 78, 98%),其中7例患者CRS≥3级;9例患者(21% , 95% CI: 8, 34%)发生神经系统毒性反应(ICANS),均≤2级;2例患者出现了≤2级急性移植物抗宿主反应(aGvHD)。
研究结论
该研究荟萃了全国共9个医学中心的临床数据,研究结果提示CAR-T细胞与异基因造血干细胞移植的结合可以提升难治复发白血病的疗效。该研究是迄今为止报道的供者CD19 CAR-T细胞治疗异基因造血干细胞移植后复发B-ALL的最大宗病例,提示靶向CD19 CAR-T细胞为那些不能进行二次移植的患者提供了一种治疗选择,但也存在复发率高、毒副作用强等缺点,未来仍需开展更多随机临床研究进行探索。
参考文献
Zhang C, Wang XQ, Zhang RL, et al. Donor-derived CD19 CAR-T cell therapy of relapse of CD19-positive B-ALL post allotransplant.Leukemia 2020 Oct 19