小靶点,大希望:十大冉冉升起的新型靶向药
针对特定基因突变的靶向药,自从上个世纪90年代末闪亮登场以来,深刻地改变了实体瘤的治疗,给国内外众多病友带去了实惠。
虽然最近几年来,免疫治疗的兴起,一定程度地抢走了靶向治疗的风头;但是新型靶向药的研发,依然是抗癌领域的重头戏。这些新型的靶向药,主要分成两大类:
第一类是常见靶点的靶向药,更新换代,逐步提高疗效、并且克服原有老药的耐药性;比如,EGFR突变、ALK突变等经典突变,已经纷纷迎来了第三代、甚至第四代靶向药。
第二类就是一些少见的、既往没有成功靶向药的靶点,随着医学科技的进步,近年来不断突破,研制出第一代高效、低毒的靶向药。
2020年,是一个不平凡的年份,新冠疫情横扫全球。在这个特殊的年份里,依然有不少作用于少见靶点的新型靶向药发布鼓舞人心的临床试验数据。本文将选择其中最有看点的几大靶向药,分享给诸位病友。
01
KRAS抑制剂:AMG510、BGB283、MRTX849
RAS基因,是最臭名昭著的致癌基因,分三兄弟:KRAS、HRAS和NRAS,其中KRAS突变,在实体瘤中阳性率最高,也是人类历史上第一个发现并阐明其大致致癌机制的癌基因。可惜三四十年过去了,一直没有高效、低毒的靶向药诞生,直到最近一两年,终于让人看到了久违的曙光。
KRAS的靶向药,AMG510(正式的名字暂定是:Sotorasib)是名气最大的,在各大学术会议上闪亮登场,同时已经登顶最权威的医学杂志《新英格兰医学》。根据已经公布的1/2期临床试验数据,该药物治疗KRAS突变的肺癌等实体瘤,客观有效率在30%-50%,控制率高达90%以上。详情可复习:2019最火抗癌药: AMG 510, 打破KRAS无药可用魔咒, 控制率100%
紧随着AMG510发布临床试验数据的是MRTX849(正式的名字暂定是:Adagrasib),小规模数据显示该药物治疗KRASG12C突变的肺癌,客观有效率为45%、疾病控制率为96%;治疗KRASG12C突变的肠癌,客观有效率为17%、疾病控制率94%。

当然除了这两个国外药企研发的KRAS靶向药外,中国的百济公司也曾经研发出一款KRAS抑制剂BGB-283,详细的数据于今年年中发表于《JCO》杂志,在23名KRAS或BRAF突变的实体瘤患者参加的1期临床试验中,有1名KRAS突变的肺癌和1名KRAS突变的子宫内膜癌患者明显起效。
02
HRAS抑制剂:Tipifarnib
上文已经提到RAS基因有三兄弟,KRAS、HRAS和NRAS,既然KRAS已经看到了曙光,另外两个自然也要跟上。
近期HRAS抑制剂tipifarnib就趁势公布了小规模临床试验数据:15名HRAS突变的晚期尿路上皮癌(主要是膀胱癌)患者,接受了该药物治疗(每次900mg,每天2次,连续吃7天,休息7天),中位随访28个月,结果显示:12名患者疗效可评价,其中5人客观有效,总的有效率为42%。
03
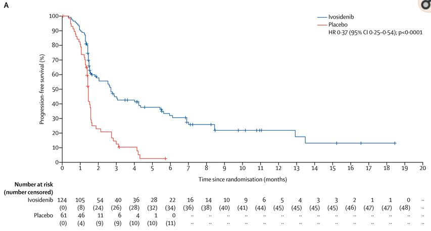
IDH1抑制剂:Ivosidenib,3期临床试验成功,上市在望
IDH1突变在胆管癌、胶质瘤等诸多实体瘤中有一定的阳性率,今年6月《柳叶刀.肿瘤学》正式公布了IDH1抑制剂Ivodsidenib治疗晚期胆管癌的3期临床试验数据。该药物此前已经在IDH1突变的白血病中正式上市。
185名其他标准治疗失败的难治性、晚期IDH1突变的胆管癌患者,2:1随机分组,实验组接受靶向药治疗,对照组接受安慰剂。中位随访6.9个月,结果显示:靶向药治疗可以将无疾病进展生存期翻倍,从1.4个月提高到2.7个月,两组中位总生存期从9.7个月提高10.8个月,两组不良反应发生率类似。

04
RAF-RAS抑制剂:CH5126766
由于RAF基因和RAS基因,在致癌的过程是彼此紧密协作的,因此不少药企在研发靶向药的时候,寻找能同时阻断RAF和RAS的新药(其实,上文提到的BGB-283一定程度上也有这个功能)。近期一款名叫CH5126766的药物,就这样闪亮登场了。
从2013年6月到2019年1月,一共29名实体瘤和多发性骨髓瘤患者入组,包括12名肺癌、5名妇科肿瘤患者、4名肠癌、1名恶性黑色瘤以及7名多发性骨髓瘤患者,中位随访2.3个月:26名疗效可评价的患者中,有7名患者肿瘤明显缩小。
05
FGFR抑制剂:AZD4547
FGFR扩增以及融合突变,在胆管癌、肺鳞癌、尿路上皮癌等多种实体瘤中常见,市场上已经有一个FGFR上市,当然是在国外,名字叫做erdafitinib,被批准用于FGFR突变的膀胱癌。
近期,又有好几个其他FGFR抑制剂公布数据,比如AZD4547,近期就公布了2期临床试验数据:48名FGFR突变的乳腺癌、尿路上皮癌、宫颈癌等实体瘤患者,接受了该药物治疗,有效率为8%,控制率是45.5%,6个月的无疾病进展生存率为15%。对于那些FGFR融合突变的患者,有效率为22%,6个月的无疾病进展生存率为56%。因此相比于点突变,融合突变或许是更好的疗效预测因子。
06
ATR抑制剂:M6620,单药显示抗癌有效性
40名晚期实体瘤入组了临床试验,17名患者接受了M6620单药、23名患者接受了联合化疗的治疗:
1名ATM基因缺失、ARID1A基因突变的肠癌患者,接受单药治疗后肿瘤明显退缩,且疗效至少已经维持了29个月。
接受联合治疗组,1名BRCA1突变的卵巢癌患者肿瘤明显缩小,15名患者疾病稳定。
下图显示了M6620单药治疗肠癌长期有效的成功案例:

07
HER2低表达也可以尝试靶向药:DS-8201展现王者之姿
DS-8201是去年在国外上市的一款HER2为靶点的抗体偶联新药,是去年抗体偶联新药领域最亮眼的新星。该药物对HER2扩增的乳腺癌、胃癌、肠癌、食管癌、肺癌均有不俗的疗效。
今年,JCO杂志更是报道,该药物对HER2低表达(仅1个加号阳性)的乳腺癌,依然有不错的有效率:54名HER2低表达的晚期乳腺癌患者入组,客观有效率达到了37%,疗效维持的中位时间长达10.8个月,还是非常不俗的数据。

08
EGFR基因20号外显子插入突变:TAK788有望一战
EGFR基因最常见的敏感突变,是19号外显子缺失突变和L858R突变;最著名的“耐药”突变是T790M,但随着第三代靶向药奥希替尼、阿美替尼等药物上市,T790M突变也被攻克了。
剩下来还有一个阳性率比较高的尚未攻克的EGFR突变是20号外显子插入突变,这类突变对常见的EGFR抑制剂,均无效。
近期,TAK788展现出对EGFR20号外显子插入突变的活性:28名EGFR基因20号外显子插入突变的晚期肺癌患者,接受了TAK788治疗:有效率是43%,控制率是86%,中位无疾病进展生存期是7.3个月。
副作用方面,3-4级不良反应主要是:腹泻、恶心、皮疹、呕吐、食欲下降、皮肤干燥和乏力。

该药物已经被美国FDA授予孤儿药、突破性疗法认定,如果扩大规模后依然能取得50%左右的有效率,那么上市在望。
参考文献:
[1]. PhaseI, Open-Label, Dose-Escalation/Dose-Expansion Study of Lifirafenib(BGB-283),an RAF Family Kinase Inhibitor, in Patients With Solid Tumors.J Clin Oncol 2020 Jul 1;38(19):2140-2150.
[2]. KRAS(G12C)Inhibition with Sotorasib in Advanced Solid Tumors.NEngl J Med. 2020 Sep 24;383(13):1207-1217.
[3]. Ivosidenibin IDH1-mutant, chemotherapy-refractory cholangiocarcinoma(ClarIDHy): amulticentre, randomised, double-blind, placebo-controlled, phase 3 study.Lancet Oncol2020 Jun;21(6):796-807
[4]. APhase II Trial of Tipifarnib for Patients with Previously Treated, MetastaticUrothelial Carcinoma Harboring HRAS Mutations.ClinCancer Res2020 Oct 1;26(19):5113-5119.
[5]. Intermittentschedules of the oral RAF-MEK inhibitor CH5126766/VS-6766 in patients withRAS/RAF-mutant solid tumours and multiple myeloma: a single-centre, open-label,phase 1 dose-escalation and basket dose-expansion study.Lancet Oncol 2020 Nov;21(11):1478-1488
[6]. PhaseII Study of AZD4547 in Patients With Tumors Harboring Aberrations in the FGFRPathway: Results From the NCI-MATCH Trial(EAY131) Subprotocol W.J Clin Oncol2020 Jul 20;38(21):2407-2417
[7]. PhaseI Trial of First-in-Class ATR Inhibitor M6620(VX-970) as Monotherapy or inCombination With Carboplatin in Patients With Advanced Solid Tumors.J Clin Oncol2020 Sep 20;38(27):3195-3204
[8]. AntitumorActivity and Safety of Trastuzumab Deruxtecan in Patients WithHER2-Low-Expressing Advanced Breast Cancer: Results From a Phase Ib Study.J Clin Oncol2020 Jun 10;38(17):1887-1896.
[9]. PhaseI Basket Study of Taselisib, an Isoform-Selective PI3K Inhibitor, in Patientswith PIK3CA-Mutant Cancers.ClinCancer Re2020 Nov 4;clincanres.2657.2020
[10]. https://www.onclive.com/view/mobocertinib-continues-to-show-clinical-activity-in-egfr-exon-20-mutant-nsclc