一种简单的方法 大幅度提高肿瘤患者的生活质量!
“乳腺癌化疗之后,经常感觉到疲劳怎么办?”“我是乳腺癌患者,治疗之后感觉精神不是很好,总是不高兴。”&hellip...
“乳腺癌化疗之后,经常感觉到疲劳怎么办?”“我是乳腺癌患者,治疗之后感觉精神不是很好,总是不高兴。”&hellip...
2020年12月5日-6日,中国研究型医院学会儿童肿瘤专业委员会(CRHA-COC)第三届学术大会在北京召开。本次会议以“加强临床研究,推进转化医学”和“儿童肿瘤...
10月20日晚,中央电视台《新闻联播》栏目讲述中国散裂中子源研制成功我国首台加速器硼中子俘获治疗实验装置的重大进展,作为“十三五”成就巡礼...
胰腺导管腺癌通常在病情发展或转移后才被发现,其总生存相对较短,因此,胰腺导管腺癌一直以来都是治疗的难点。既往研究表明,大约一半的手术后患者可从辅助化疗中获得显著的...
Avelumab是一种PD-L1抗体,在非小细胞肺癌、间皮瘤等多种实体肿瘤中显示出抗肿瘤活性及可耐受的安全性。在一项JAVELIN Solid Tumor tri...
摘要 骨髓增殖性肿瘤急变期(blast phase myeloproliferative neoplasm,MPN-BP)是一类继发性急性白血病。MPN...
一说到化疗,很多人就说化疗会伤身体,千万不要化疗。前一句话是对的,化疗确实有副作用,对身体也就有伤害作用,但后一句话“千万不要化疗”,这显然是错的。当然,对于化疗...
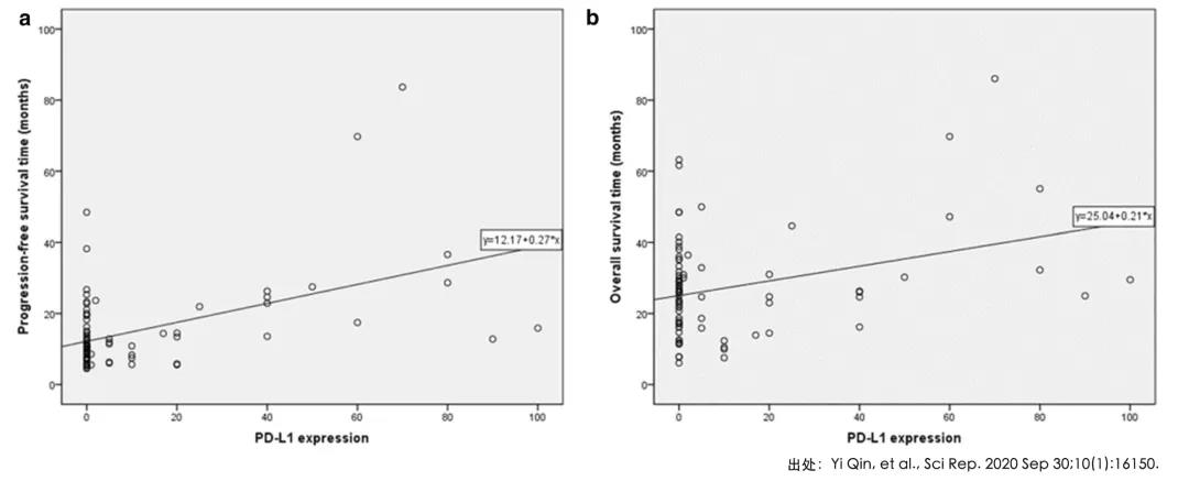
PD-1的出现极大地革新了肿瘤的治疗,之前很多无靶向治疗机会的患者可以使用PD-1,给很多晚期癌症患者开启了希望之门。尽管PD-1一旦起效之后,患者可以长期的获益...
Ⅲ期PAOLA-1 / ENGOT-ov25研究亚组分析显示,奥拉帕利加入贝伐珠单抗维持治疗,可以改善日本新诊断的晚期卵巢癌患者的无进展生存期(PFS)。这项研究...
编者按:2020年欧洲肿瘤内科学会(ESMO)亚洲年会将于2020年11月20-22日在狮城新加坡举行,由于疫情原因,ESMO亚洲年会(ESMO ASIA 202...
近日,默沙东(MSD)宣布,凭借KEYNOTE-355优异的临床研究结果,PD-1抑制剂Keytruda(K药)联合化疗,治疗肿瘤表达PD-L1(CPS≥1...
结直肠癌的辅助化疗是肿瘤内、外科医生共同关心的话题。自 IDEA 研究结果公布以来,仍有很多人在问,究竟哪些人需要做术后辅助化疗,哪些人需要做 3 个月,哪些人需...
多发性骨髓瘤早期控制力度强的治疗以化疗为主,大部分患者化疗后可发生或轻或重的不良反应,常见骨髓抑制。这个期间病人的血象往往极度低下,除了必要的支持维持治疗外,还需...
众所周知,联合用药在提高肿瘤治疗效果的同时可能会因为药物之间的相互作用或抗癌药物作用的周期特异性对化疗的疗效和毒性产生影响,正确的给药顺序是促进肿瘤合理用药的重要...
脑肿瘤是中枢神经系统常见的疾患之一,包括原发性脑肿瘤及转移瘤,该类病发病机制不明,预后较差,手术切除后容易复发,是神经外科医师倍感棘手的疾病。MDT是脑肿瘤标准的...
背景多学科会诊提示,卵巢癌伴胸水或胸膜受累时,胸腔热灌注是一个值得考虑的治疗方法。肿瘤细胞减灭术与腹腔热灌注和胸腔热灌注联合治疗(CRS联合HIPEC/HITHO...
“化疗就是毒药!我母亲76岁了,她无法承受化疗,还有其他办法吗?” “再化疗下去,我觉得扛不住了。半年的化疗,我至多...
徐莹莹教授:TNBC术前TAC两轮后SD尚可手术继续化疗 我的持方是“三阴性乳腺癌(TNBC...
徐莹莹教授:TNBC术前TAC两轮后SD尚可手术继续化疗 我的持方是“三阴性乳腺癌(TNBC...
不可切除晚期肛管鳞状细胞癌(SCCA)为罕见性消化道恶性肿瘤,预后差,缺乏明确的标准治疗方案。“InterAAct”为全球首个针对晚期SC...
大细胞伸进内分泌肿瘤是一种较为少见的肺恶性肿瘤,临床数据较少。近期,Limonnik等人借助NCDB大数据库,对大细胞神经内分泌癌患者的预后进行了分析。这项研究纳...
BRCA1/2突变是目前已知的乳腺癌易感基因,携带BRCA1/2突变的乳腺癌患者因为肿瘤DNA的修复缺陷理论上能从PARP抑制剂的合成致死作用获益,这让HER-2...
ABL酪氨酸激酶抑制剂的出现,显著改善了费城染色体阳性(Ph+)成人急性淋巴细胞白血病(ALL)患者的预后。无论是否进行全身化疗,都能使大多数患者达到完全的血液学...
太长不看版: PD-1不是晚期癌症患者的“专属”,早期患者也适合。针对早期肺癌患者,术前使用PD-1+化...
免疫治疗、靶向治疗获得了一个又一个突破,彻底改变了肿瘤治疗的格局。 而作为传统治疗的化疗也一直扮演着重要作用。越来越多的证据表明,化疗联合靶向治疗或免疫...
PD-1等免疫治疗药物治疗之后,很多患者会进行化疗,那么化疗的效果如何?受什么因素影响?癌度带大家一起来了解一项最新发布的CLARITY研究。 &nbs...
经危险度分层指导的一线治疗下,早期(Ⅰ-Ⅱ期)经典型霍奇金淋巴瘤(HL)预后很好。为降低化疗对患者的毒副反应,研究者们开展了多项临床试验,观察降低治疗强度后对其生...
1个月前,身患癌症的苏大爷在儿女搀扶着他到科室,准备第4个周期的术后辅助化疗,医生一看他瘦骨嶙峋、形如枯槁,吓了一跳,难道肿瘤进展太快,出现恶病质啦。 ...
这是小章住院的第三个月,结束了一天的治疗后,小章坐在病床上安静的望着窗外的夜景,这是小章一天中最放松的时刻。 大约半年前,小章因为一次单位组织的体检中,...
霍奇金淋巴瘤(HL)是一种恶性血液系统疾病,经过有效治疗后部分患者可达到治愈。但与年轻患者相比,年龄>60岁的老年患者治疗总体缓解率低,生存期短,并存在更多治疗相...